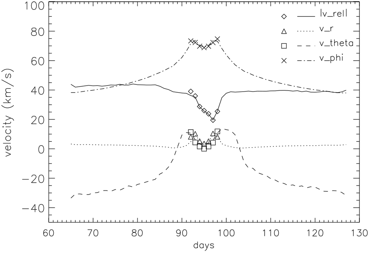
Fig. 5
 
      Average speed relative to PSP (solid line, diamonds) and the average velocity components: radial (dotted line, triangles), latitudinal (dashed, squares), and azimuthal (dotted-dashed, x signs) of 30–40 nm particles with β = 0.163 that encounter PSP along the second orbit. The symbols show the averages weighted by the radial flux (first method, the peak region). Lines show the averages obtained by using the latitudinal flux (second method). See Sect. 3and Appendix A for details.
Current usage metrics show cumulative count of Article Views (full-text article views including HTML views, PDF and ePub downloads, according to the available data) and Abstracts Views on Vision4Press platform.
Data correspond to usage on the plateform after 2015. The current usage metrics is available 48-96 hours after online publication and is updated daily on week days.
Initial download of the metrics may take a while.
