Free Access

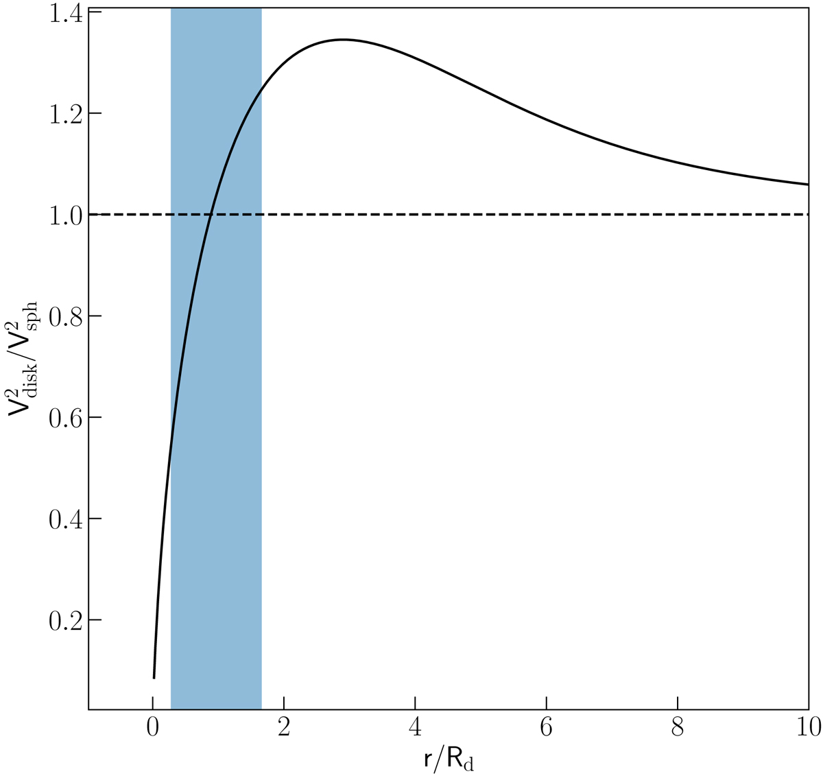
Fig. 13.

image

Circular velocity comparison. Ratio between the circular velocities expected assuming a mass distribution following an exponential disc and its equivalent-mass spherical model as a function of the scale length. The blue shadow represents the area covered by the reference radius (Rr) from our sample.

Current usage metrics show cumulative count of Article Views (full-text article views including HTML views, PDF and ePub downloads, according to the available data) and Abstracts Views on Vision4Press platform.

Data correspond to usage on the plateform after 2015. The current usage metrics is available 48-96 hours after online publication and is updated daily on week days.

Initial download of the metrics may take a while.