Free Access

Fig. 6.

image

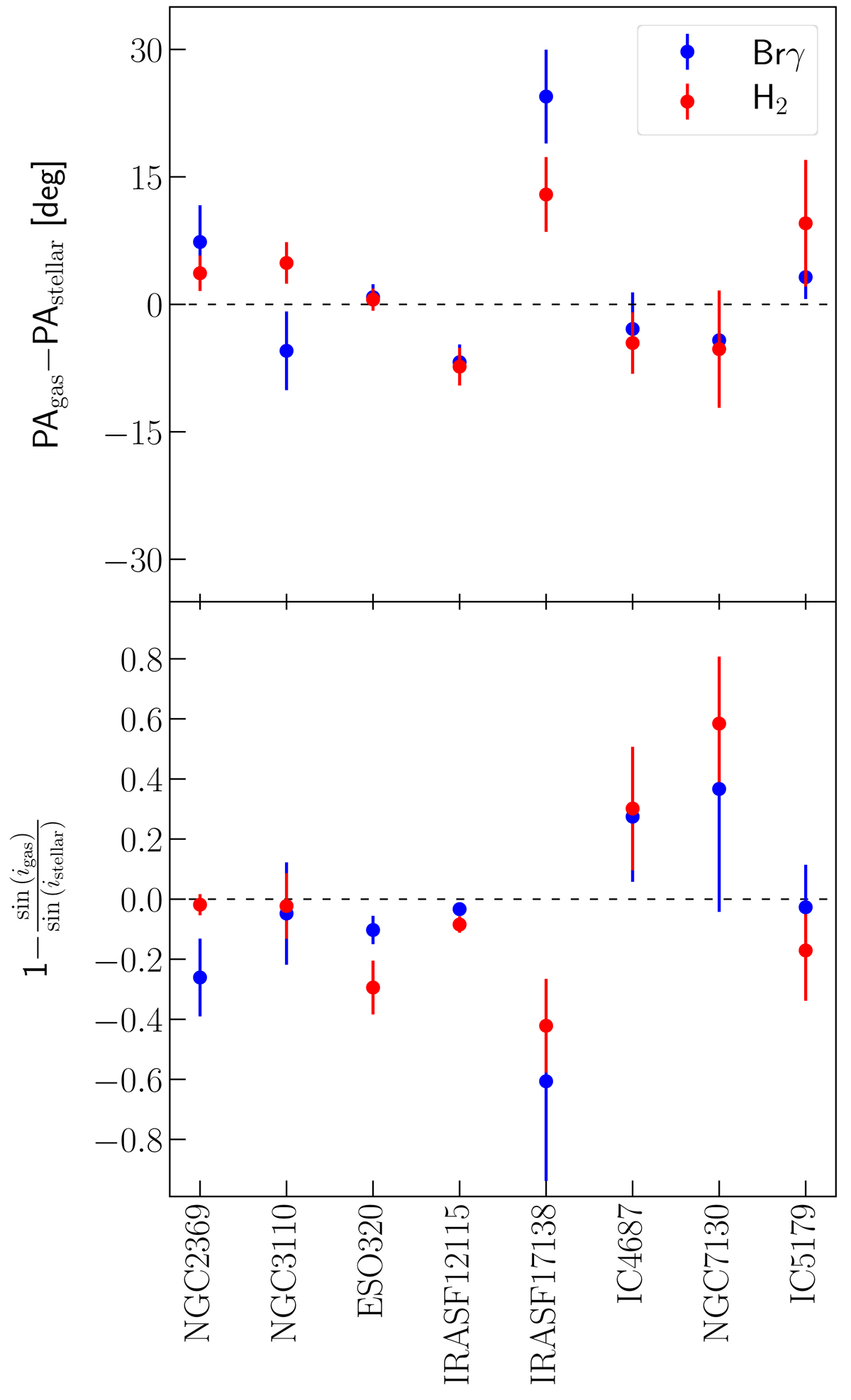
Comparison between the gas and stellar kinematically derived parameters. Difference between the PA and sin(i) from the DiskFit models of stellar and Brγ and H21-0 S(1) velocity maps, in blue and red, respectively.

Current usage metrics show cumulative count of Article Views (full-text article views including HTML views, PDF and ePub downloads, according to the available data) and Abstracts Views on Vision4Press platform.

Data correspond to usage on the plateform after 2015. The current usage metrics is available 48-96 hours after online publication and is updated daily on week days.

Initial download of the metrics may take a while.