Fig. 2

image

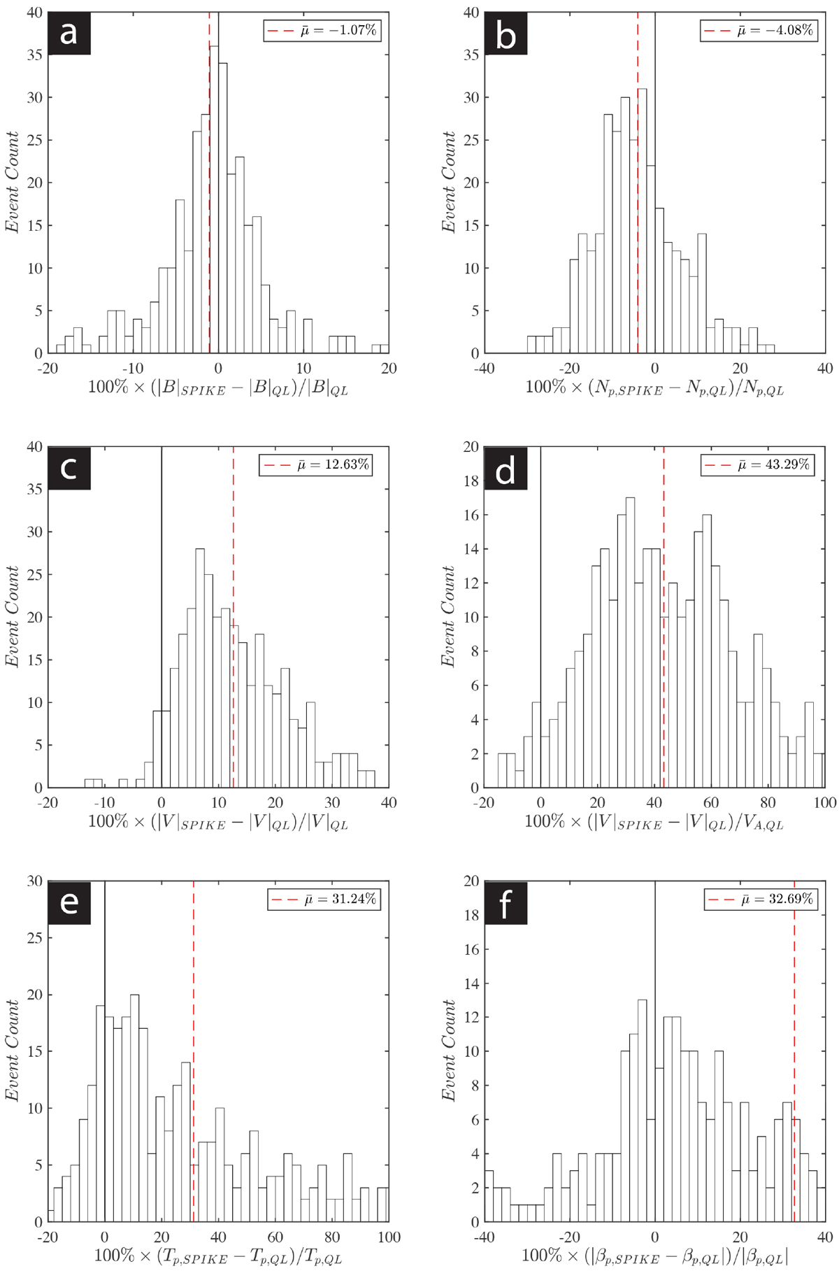
Histograms of percentage parameter jump across the switchbacks’ leading transition regions, XSPIKEXQL. Parameters including: (a) total magnetic field |B|, (b) proton density N, (c) total proton velocity |V |, and (d) totalproton velocity |V| relative to the local Alfvén velocity VA, (e) proton radial temperature Tp derived fromthe most probable speed W, and (f) plasma beta β. Parameters are compared at the leading quiet, pristine solar wind (QL) regions and inside the switchback spikes (SPIKE). The red dashed lines indicate the average values .

Current usage metrics show cumulative count of Article Views (full-text article views including HTML views, PDF and ePub downloads, according to the available data) and Abstracts Views on Vision4Press platform.

Data correspond to usage on the plateform after 2015. The current usage metrics is available 48-96 hours after online publication and is updated daily on week days.

Initial download of the metrics may take a while.