Free Access

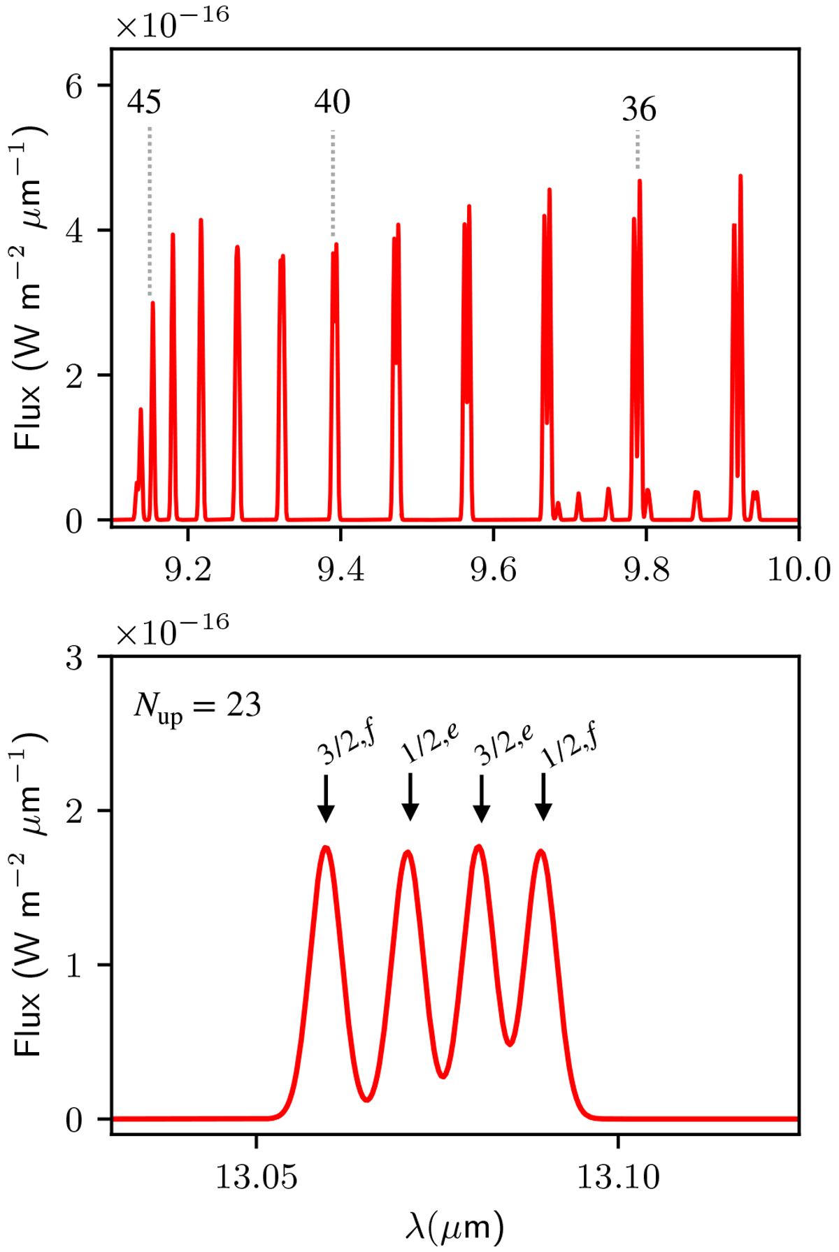
Fig. 12

image

Expected OH mid-IR spectrum at JWST-MIRI resolving power (R ≃ 2000–3000). The parameters of the model correspond to those derived from the Spitzer-IRS observations of HH 211. The weak lines around 9.8 μm are pure rotational lines within the OH(X)(v = 1) state.

Current usage metrics show cumulative count of Article Views (full-text article views including HTML views, PDF and ePub downloads, according to the available data) and Abstracts Views on Vision4Press platform.

Data correspond to usage on the plateform after 2015. The current usage metrics is available 48-96 hours after online publication and is updated daily on week days.

Initial download of the metrics may take a while.