Open Access

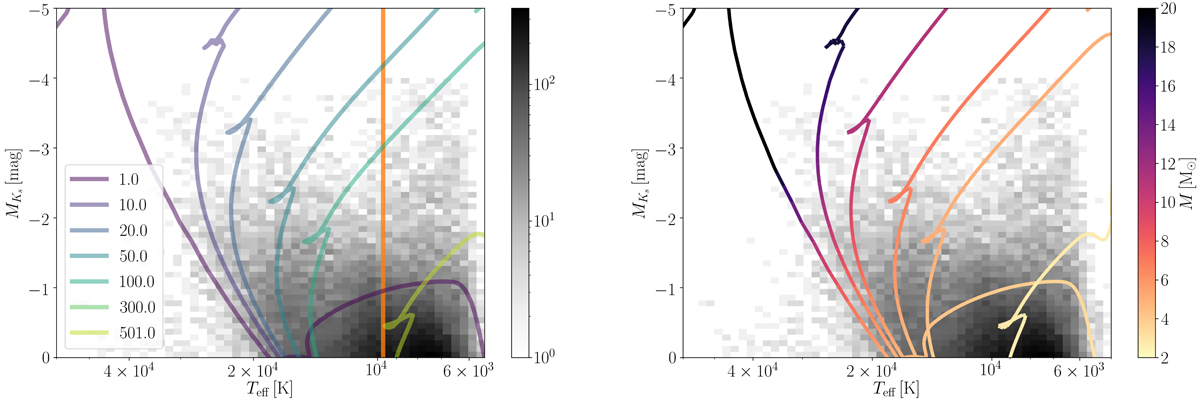
Fig. 8.

image

Left: distribution of the sources with LAMOST DR6 spectra in the log Teff vs. MKs (grey). The orange solid line indicates Teff = 9700 K, which corresponds to the temperature of a A0V-type star (Pecaut & Mamajek 2013). The isochrones are colour-coded according to their age (in Myr). Right: same as left, with the isochrones colour-coded according to their mass.

Current usage metrics show cumulative count of Article Views (full-text article views including HTML views, PDF and ePub downloads, according to the available data) and Abstracts Views on Vision4Press platform.

Data correspond to usage on the plateform after 2015. The current usage metrics is available 48-96 hours after online publication and is updated daily on week days.

Initial download of the metrics may take a while.