Free Access

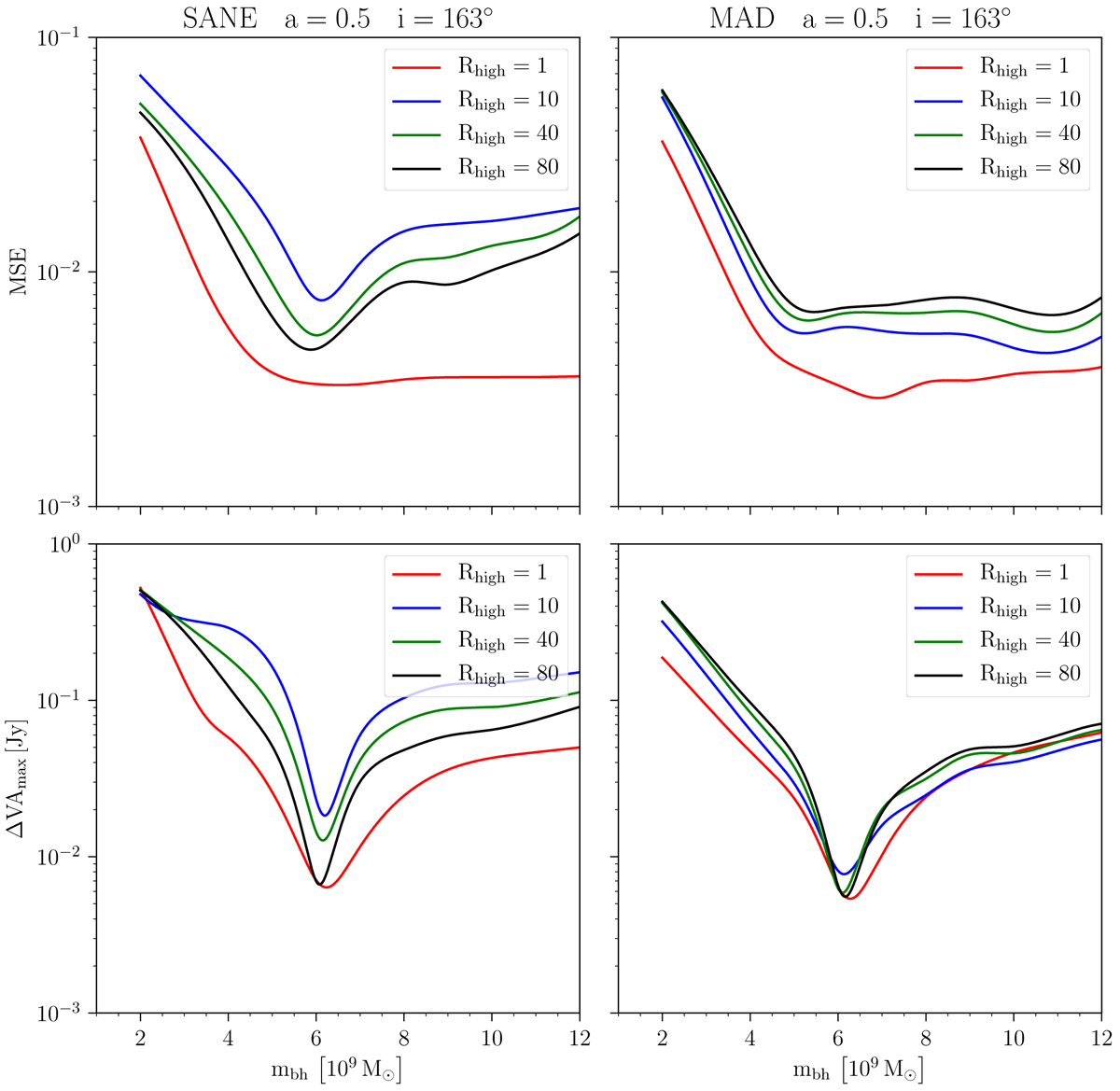
Fig. A.3.

image

Result of the mass scaling analysis for SANE (left) and MAD (right) model with a* = 0.5 for different Rhigh values. Top panels: MSE and the bottom ones show the maximal difference in the visibility amplitude.

Current usage metrics show cumulative count of Article Views (full-text article views including HTML views, PDF and ePub downloads, according to the available data) and Abstracts Views on Vision4Press platform.

Data correspond to usage on the plateform after 2015. The current usage metrics is available 48-96 hours after online publication and is updated daily on week days.

Initial download of the metrics may take a while.