Fig. 4

image

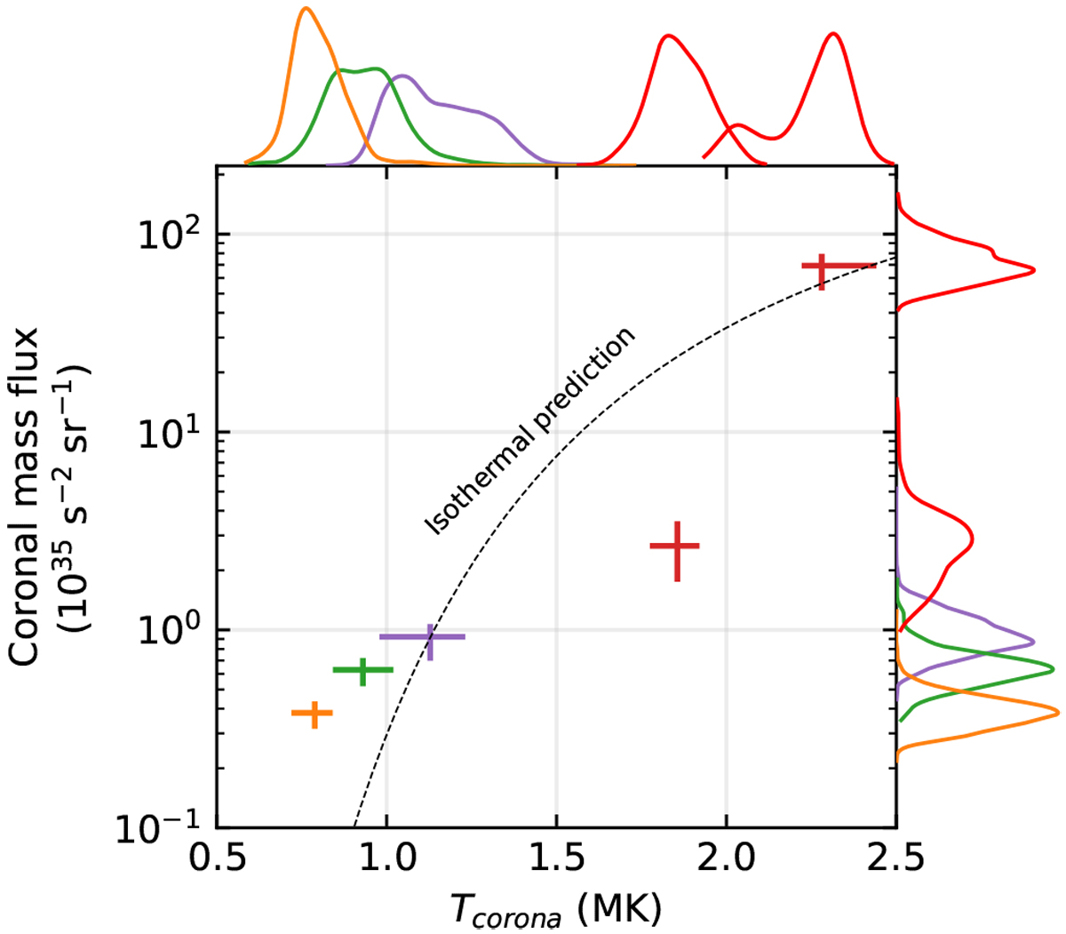
Joint distributions of coronal temperature and coronal mass flux for the three coronal holes (lower left) and two active regions (upper right). Crosses are centred on the median values and span the 20th to 80th percentiles. Marginal 1D distributions show Gaussian kernel density estimations. The dashed line is an isothermal prediction for .

Current usage metrics show cumulative count of Article Views (full-text article views including HTML views, PDF and ePub downloads, according to the available data) and Abstracts Views on Vision4Press platform.

Data correspond to usage on the plateform after 2015. The current usage metrics is available 48-96 hours after online publication and is updated daily on week days.

Initial download of the metrics may take a while.