Fig. 9

image

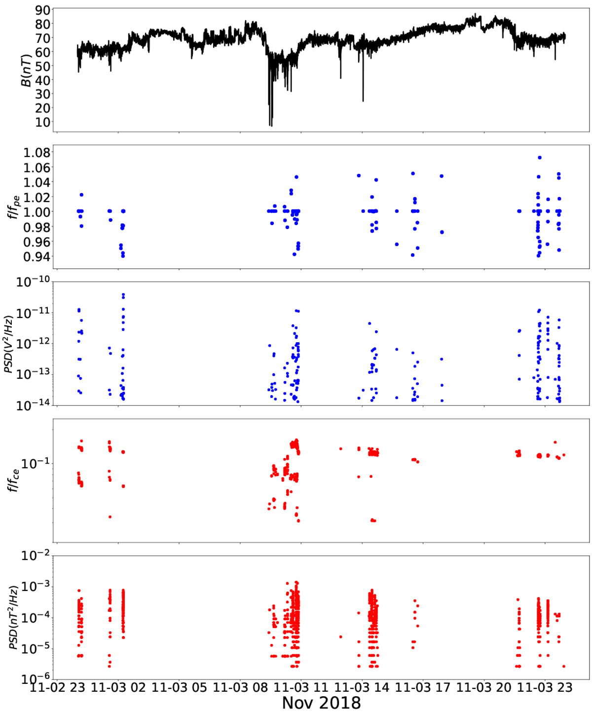
Example of simultaneous observation of whistlers and Langmuir waves in the PSP data. Panel 1: absolute magnetic field. Panel 2: normalized frequency of Langmuir waves with electron plasma frequency. Panel 3: spectral density of the observed Langmuir waves. Panel 4: normalized frequency of whistler waves with the electron cyclotron frequency. Panel 5: spectral density of whistler waves.

Current usage metrics show cumulative count of Article Views (full-text article views including HTML views, PDF and ePub downloads, according to the available data) and Abstracts Views on Vision4Press platform.

Data correspond to usage on the plateform after 2015. The current usage metrics is available 48-96 hours after online publication and is updated daily on week days.

Initial download of the metrics may take a while.