Open Access

Fig. 9

image

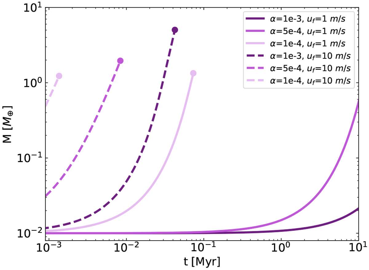
Planetary mass as a function of time for the simulations with Σg,0 = 2000 g cm−2, all α-viscosities, and both of the fragmentation velocities at 1 AU. The dots give the final planetary mass determined by the pebble isolation mass (Figs. 5 and 6). The growth timescale is longer than 10 Myr in disks with α > 5 × 10−4 when particle collisions are limited by a fragmentation velocity of 1 m s−1.

Current usage metrics show cumulative count of Article Views (full-text article views including HTML views, PDF and ePub downloads, according to the available data) and Abstracts Views on Vision4Press platform.

Data correspond to usage on the plateform after 2015. The current usage metrics is available 48-96 hours after online publication and is updated daily on week days.

Initial download of the metrics may take a while.