Free Access

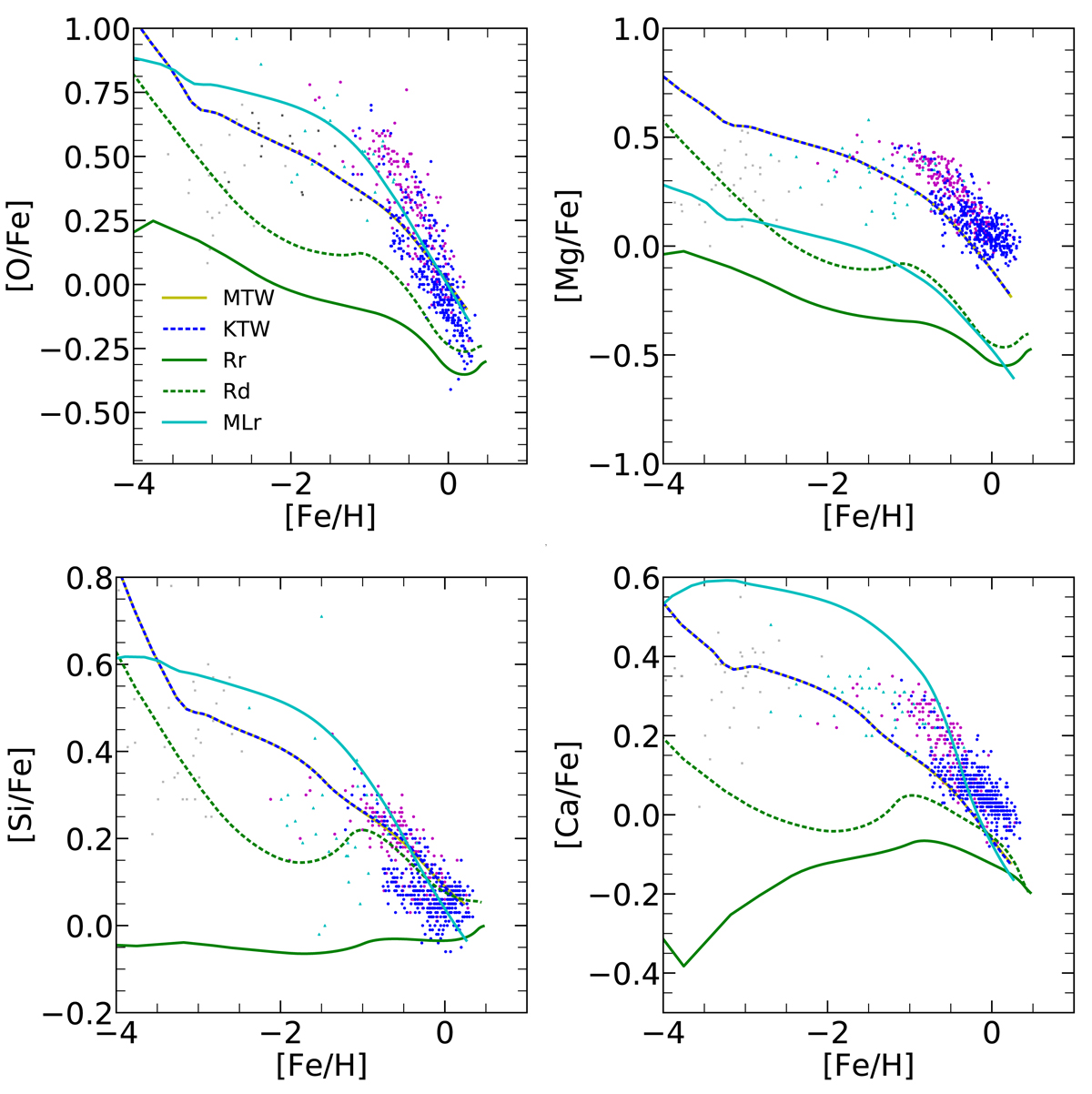
Fig. 6.

image

Comparison of predicted abundances, derived with our best chemical evolution models (see Fig. 4) with observations of thin-disc stars (blue points) and thick-disc stars (magenta points) and halo stars (cyan triangles) in the solar neighbourhood from Bensby et al. (2014). Plotted in the figure are also the sample of metal-poor (black dots) and very metal-poor (gray dots) stars from Nissen et al. (2002) and Cayrel et al. (2004), respectively. We note that the MTW and KTW models overlap almost completely.

Current usage metrics show cumulative count of Article Views (full-text article views including HTML views, PDF and ePub downloads, according to the available data) and Abstracts Views on Vision4Press platform.

Data correspond to usage on the plateform after 2015. The current usage metrics is available 48-96 hours after online publication and is updated daily on week days.

Initial download of the metrics may take a while.