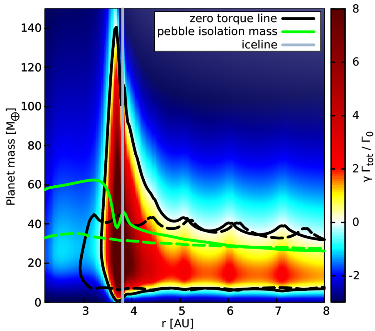
Fig. 8
 
      Torque acting on planets in the disc that features a transition in the dust fragmentation velocity from 1 to 5 m s−1, α = 5 × 10−3, and a water abundance of 50% (Figs. 3 and 6a). The solid lines correspond to the disc that features the transition, and the dashed lines correspond to the disc that utilises the same disc parameters but has a constant dust fragmentation velocity of 5 m s−1. The black lines are the zero torque lines, and the green lines represent the pebble isolation mass. The grey line marks the water-ice line of the disc in the case of a transition in the dust fragmentation velocity to 5 m s−1.
Current usage metrics show cumulative count of Article Views (full-text article views including HTML views, PDF and ePub downloads, according to the available data) and Abstracts Views on Vision4Press platform.
Data correspond to usage on the plateform after 2015. The current usage metrics is available 48-96 hours after online publication and is updated daily on week days.
Initial download of the metrics may take a while.
