Free Access

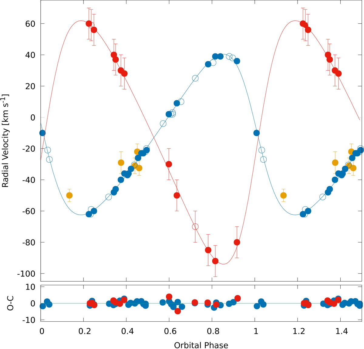
Fig. 3.

image

RV curves of the primary (blue) and secondary (red) components of the binary system HD 96264A calculated with the parameters of the orbital solution shown in Table 3 along with the observations. Errors on primary RVs are smaller than the symbol sizes. Filled circles represent LCO and La Silla data, and open circles are used for CASLEO. Yellow circles represent the previously published RVs. The O-C for the primary (blue) and secondary (red) are depicted in the bottom panel.

Current usage metrics show cumulative count of Article Views (full-text article views including HTML views, PDF and ePub downloads, according to the available data) and Abstracts Views on Vision4Press platform.

Data correspond to usage on the plateform after 2015. The current usage metrics is available 48-96 hours after online publication and is updated daily on week days.

Initial download of the metrics may take a while.