Free Access

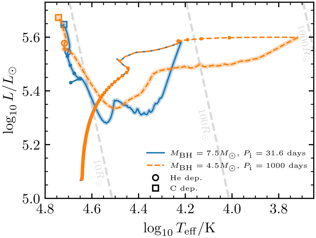
Fig. 11.

image

Evolution in the HR diagram for a 30 M donor star in two systems leading to the formation of a merging binary BH through stable MT. Dots in the tracks indicate intervals of 105 years, while thicker lines indicate periods of RLOF.

Current usage metrics show cumulative count of Article Views (full-text article views including HTML views, PDF and ePub downloads, according to the available data) and Abstracts Views on Vision4Press platform.

Data correspond to usage on the plateform after 2015. The current usage metrics is available 48-96 hours after online publication and is updated daily on week days.

Initial download of the metrics may take a while.