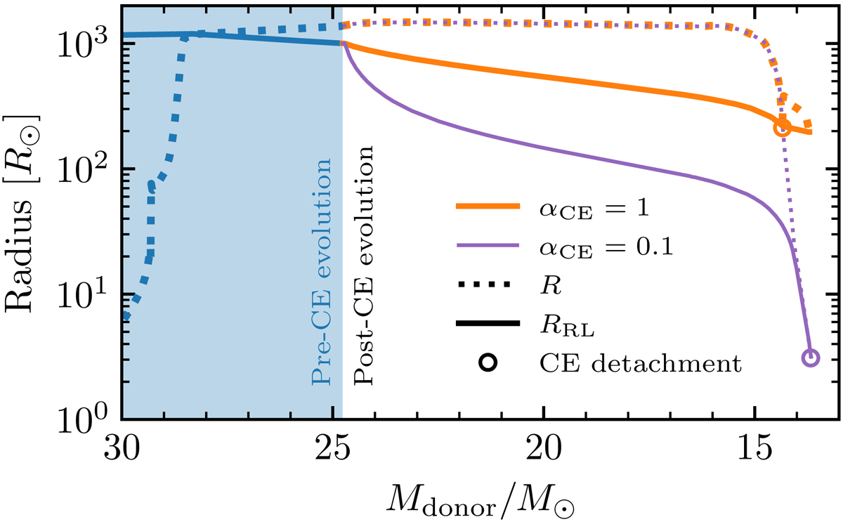
Fig. 14.
 
      Evolution of the radius and Roche lobe radius for two models undergoing successful envelope ejection from CE evolution. Both models correspond to a simulation of a 30 M⊙ star with a 14.1 M⊙ BH with an initial orbital period of 2344 days, with the only difference between the simulations being the efficiency of CE, αCE = 1 or 0.1. The shaded blue region indicates pre-CE evolution which is identical for both cases. For each case, empty circles denote the moment our algorithm determines that CE evolution would end as the star contracts within its Roche lobe in the absence of mass loss from CE evolution.
Current usage metrics show cumulative count of Article Views (full-text article views including HTML views, PDF and ePub downloads, according to the available data) and Abstracts Views on Vision4Press platform.
Data correspond to usage on the plateform after 2015. The current usage metrics is available 48-96 hours after online publication and is updated daily on week days.
Initial download of the metrics may take a while.
