Free Access

Fig. 3.

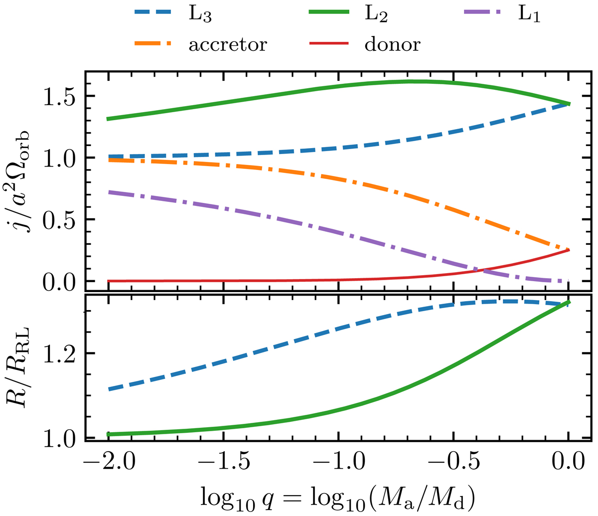
image

Top: specific angular momentum in units of a2Ωorb for the donor, the accretor, and the first three Lagrangian points as a function of the mass ratio. Bottom: volume equivalent radii for the donor corresponding to the L2 and L3 equipotentials. Volume equivalent radius for L2 is taken from the fit of Marchant et al. (2016), which due to small errors in the fit results in a slightly larger value than the radius for the L3 equipotential at q = 1.

Current usage metrics show cumulative count of Article Views (full-text article views including HTML views, PDF and ePub downloads, according to the available data) and Abstracts Views on Vision4Press platform.

Data correspond to usage on the plateform after 2015. The current usage metrics is available 48-96 hours after online publication and is updated daily on week days.

Initial download of the metrics may take a while.