Free Access

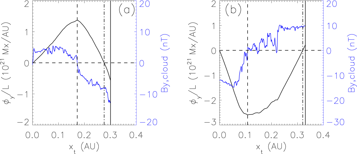
Fig. 2.

image

Accumulated azimuthal flux ϕy/L (black curve) and azimuthal magnetic field component (blue curve) plotted with respect to the distance xt associated with (a) Event 1 and (b) Event 2. The vertical black dashed lines and black dash-dotted lines correspond to tcenter and xasym, respectively. The vertical solid lines represent the MC boundaries.

Current usage metrics show cumulative count of Article Views (full-text article views including HTML views, PDF and ePub downloads, according to the available data) and Abstracts Views on Vision4Press platform.

Data correspond to usage on the plateform after 2015. The current usage metrics is available 48-96 hours after online publication and is updated daily on week days.

Initial download of the metrics may take a while.