Free Access

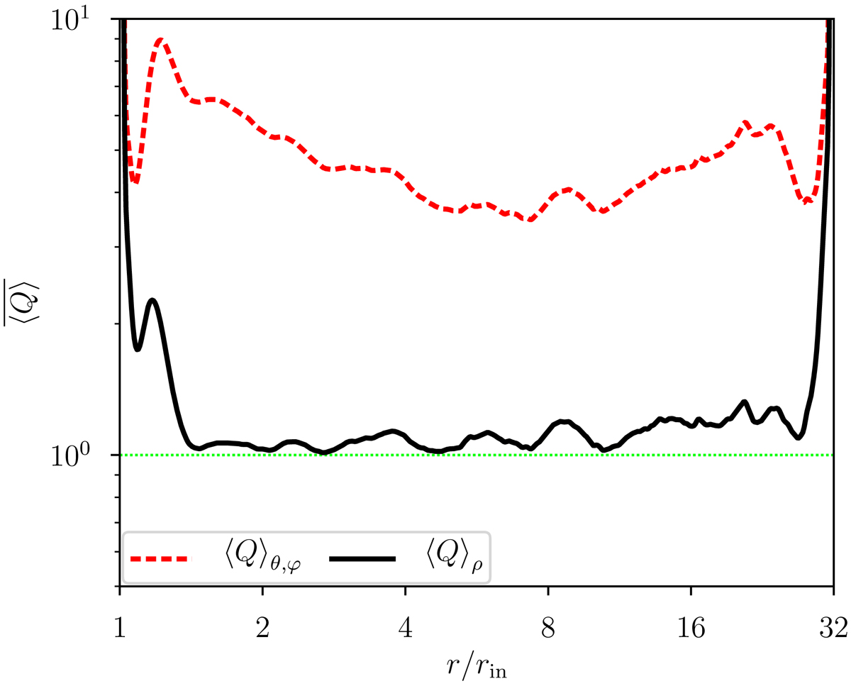
Fig. 5.

image

Radial profiles of the time-averaged Toomre number Q in run M3B10, using either the density-weighted sound speed ⟨cs, isoρ (solid black) or a simple vertical averaging (dashed red) in Eq. (6). The dotted horizontal line marks the threshold Q = 1 of marginal stability.

Current usage metrics show cumulative count of Article Views (full-text article views including HTML views, PDF and ePub downloads, according to the available data) and Abstracts Views on Vision4Press platform.

Data correspond to usage on the plateform after 2015. The current usage metrics is available 48-96 hours after online publication and is updated daily on week days.

Initial download of the metrics may take a while.