Free Access

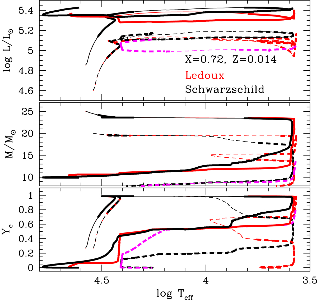
Fig. 1.

image

Evolutionary tracks of 20 (dashed lines) and 25 M (solid lines) models until central helium exhaustion computed with the Ledoux (red lines) and the Schwarzschild (black lines) criteria for the occurrence of convection for an initial composition of (X, Z)=(0.72, 0.014). The magenta line corresponds to the Ledoux 20 M model computed with an enhanced mass-loss rate (twice our standard rates). Top panel: HR diagram, middle and bottom panels: changes in mass and in the central helium abundance, Yc, respectively, as a function of Teff. Radial pulsations are excited along the thick-line parts.

Current usage metrics show cumulative count of Article Views (full-text article views including HTML views, PDF and ePub downloads, according to the available data) and Abstracts Views on Vision4Press platform.

Data correspond to usage on the plateform after 2015. The current usage metrics is available 48-96 hours after online publication and is updated daily on week days.

Initial download of the metrics may take a while.