Press Release
Open Access

Fig. 1.

image

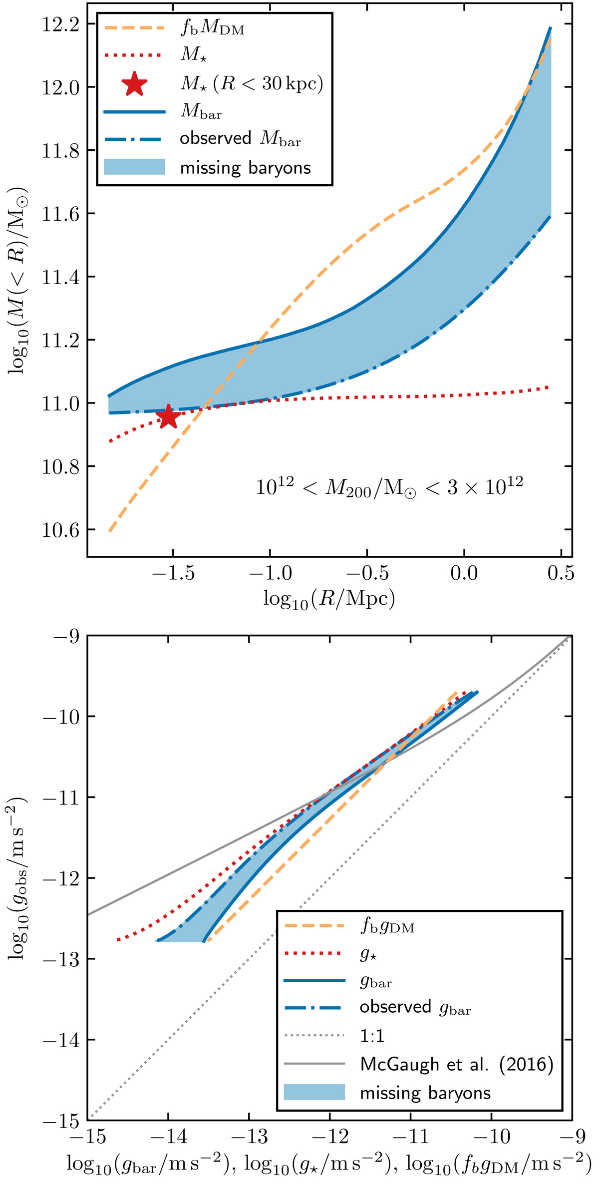
Mass profiles and RAR of BAHAMAS galaxies. Upper panel: cumulative mass profiles of stars (red dotted line) and total baryons (blue solid line) for BAHAMAS galaxies with . The star marker indicates the stellar mass within a aperture, indicative of what is typically regarded as the stellar mass of a galaxy. The blue dash-dotted line shows the typical baryonic mass profile of observed galaxies of similar mass, estimated based on an extrapolation of the compilation in Fig. 7 of Tumlinson et al. (2017). In the inner galaxy the discrepancy (light blue shaded region) between the observed and simulated Mbar is relatively small, but in the outer galaxy the majority of the baryons predicted to be present in BAHAMAS consist of currently unobserved, missing baryons. The orange dashed line shows the expected baryonic mass profile if the baryon density is everywhere equal to a fixed fraction fb = Ωbm of the local DM density. At large enough radii (), the baryon-to-DM ratio converges to the cosmic average. Lower panel: as in upper panel, but in acceleration space. The cosmic baryon fraction provides a strong theoretical upper limit on gbar at low accelerations in the context of the ΛCDM cosmology.

Current usage metrics show cumulative count of Article Views (full-text article views including HTML views, PDF and ePub downloads, according to the available data) and Abstracts Views on Vision4Press platform.

Data correspond to usage on the plateform after 2015. The current usage metrics is available 48-96 hours after online publication and is updated daily on week days.

Initial download of the metrics may take a while.