Open Access

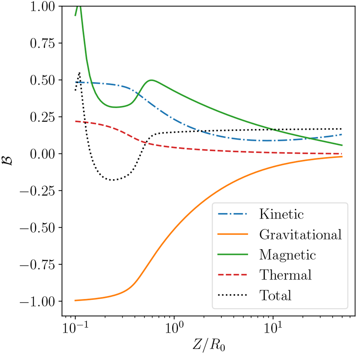
Fig. 8

image

Bernoulli invariant plotted along one given field line for the fiducial run at β = 105. The Bernoulli invariant becomes constant once in the ideal MHD region, as expected. The thermal contribution to the energetics isnegligible compared to the magnetic contribution, hence the wind is classified as a “cold” MHD wind.

Current usage metrics show cumulative count of Article Views (full-text article views including HTML views, PDF and ePub downloads, according to the available data) and Abstracts Views on Vision4Press platform.

Data correspond to usage on the plateform after 2015. The current usage metrics is available 48-96 hours after online publication and is updated daily on week days.

Initial download of the metrics may take a while.