Open Access

Fig. 10.

image

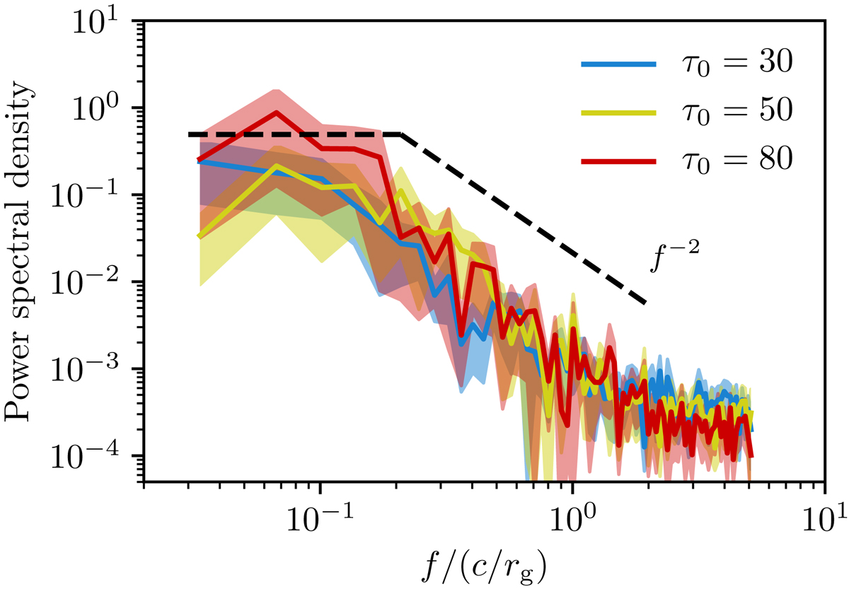
Power spectral density of the light curves at viewing angle αobs = 11.2°, for the simulations with V0/c = 0.05, as a function of the frequency f. The black dashed line shows the red-noise scaling f−2, down to a spectral break located close to 0.1 c/rg. The shaded areas indicate the error bars on the power spectra.

Current usage metrics show cumulative count of Article Views (full-text article views including HTML views, PDF and ePub downloads, according to the available data) and Abstracts Views on Vision4Press platform.

Data correspond to usage on the plateform after 2015. The current usage metrics is available 48-96 hours after online publication and is updated daily on week days.

Initial download of the metrics may take a while.