Open Access

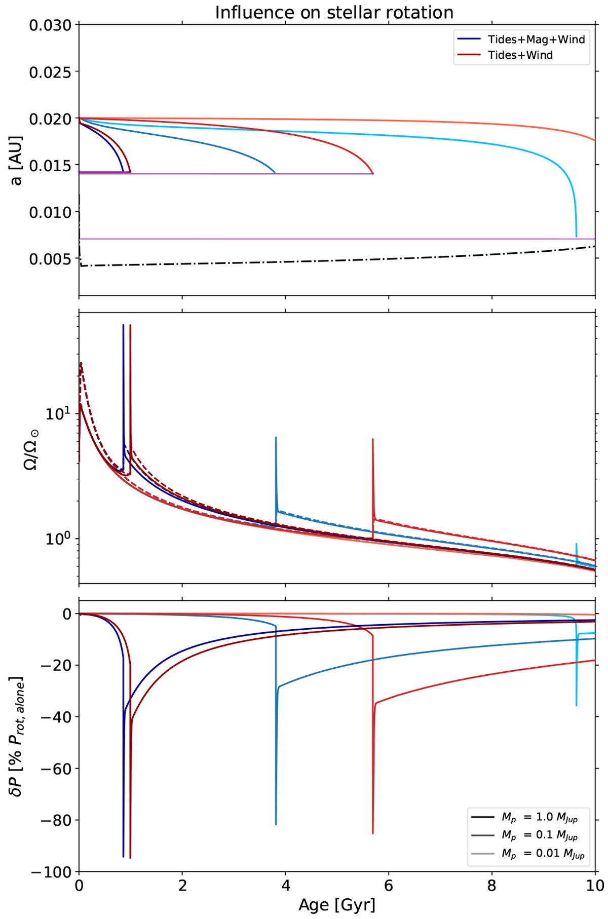
Fig. 10

image

Secular evolution of a star–planet system formed by a median rotating solar twin (M = 1 M,  Prot,ini = 5 days) orbited by a magnetized planet (aini = 0.02 AU,  Bp = 1 G) for three different planetary masses: Mp = {0.01,  0.1,  1} MJup (dark to light colors). Top panel: semi-major axis (solid lines). In shades of red: wind braking + tides, in shades of blue: wind braking + tides + magnetic effects, in shades of purple: Roche limit, defined as in Benbakoura et al. (2019). In dashed-dotted black: stellar radius. Middle panel: time evolution of the rotation rate of the stellar envelope (solid line) and of the stellar core (dashed line). Bottom panel: departure of the rotation period of the planet-hosting star compared to an isolated star.

Current usage metrics show cumulative count of Article Views (full-text article views including HTML views, PDF and ePub downloads, according to the available data) and Abstracts Views on Vision4Press platform.

Data correspond to usage on the plateform after 2015. The current usage metrics is available 48-96 hours after online publication and is updated daily on week days.

Initial download of the metrics may take a while.