Open Access

Fig. 5

image

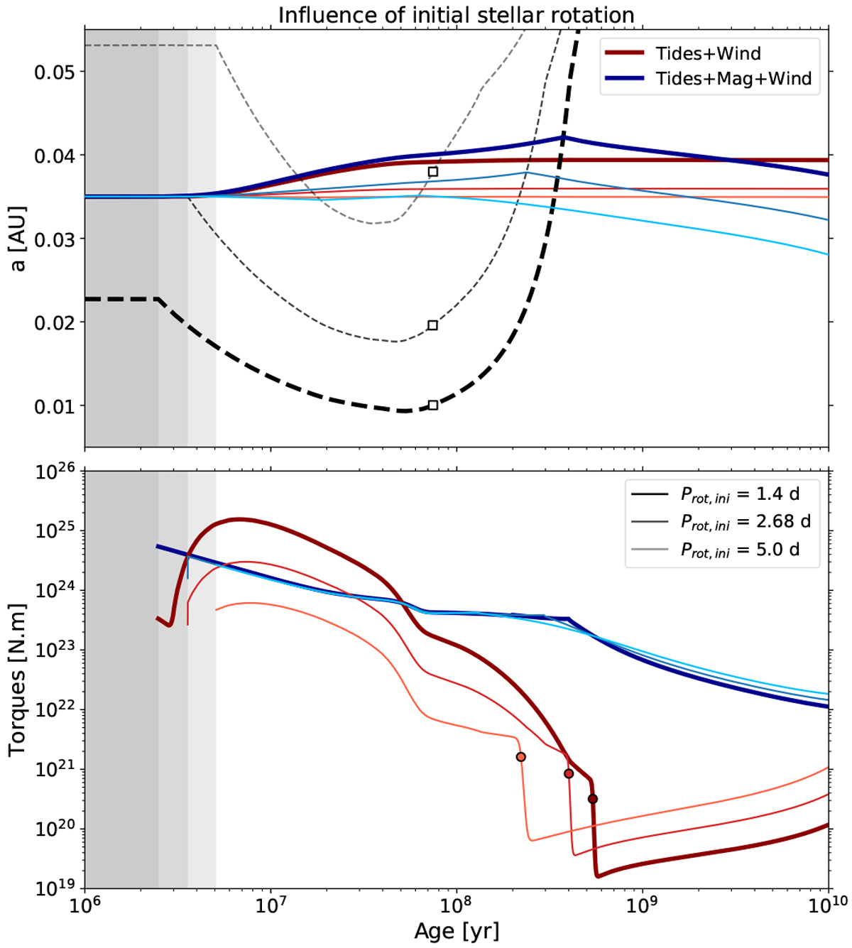
Secular evolution of a star–planet system formed by a K star (M = 0.8 M) orbited by a strongly magnetized hot Neptune (aini = 0.035 AU,  Mp = 0.1 MJup,  Bp = 10 G) for three different initial stellar rotation periods: Prot, ini = 1.4 days,  2.67 days,  5 days (dark to light colors). The thick curves correspond to our reference case discussed in Sect. 3.1.1. Top panel: semi-major axis (solid lines), co-rotation radius of the star (black dashed lines). Wind braking + tides are shown in shades of red; wind braking + tides + magnetic effects are shown in shades of blue. The gray bands on the left correspond to the disk locking phase. Bottom panel: tidal (shades of red) and magnetic (shades of blue) torques in the case of evolution with all the combined interactions. The white squares correspond to the ZAMS and the red circles to the crossing of the dynamical tide excitation limit by the planet.

Current usage metrics show cumulative count of Article Views (full-text article views including HTML views, PDF and ePub downloads, according to the available data) and Abstracts Views on Vision4Press platform.

Data correspond to usage on the plateform after 2015. The current usage metrics is available 48-96 hours after online publication and is updated daily on week days.

Initial download of the metrics may take a while.