Free Access

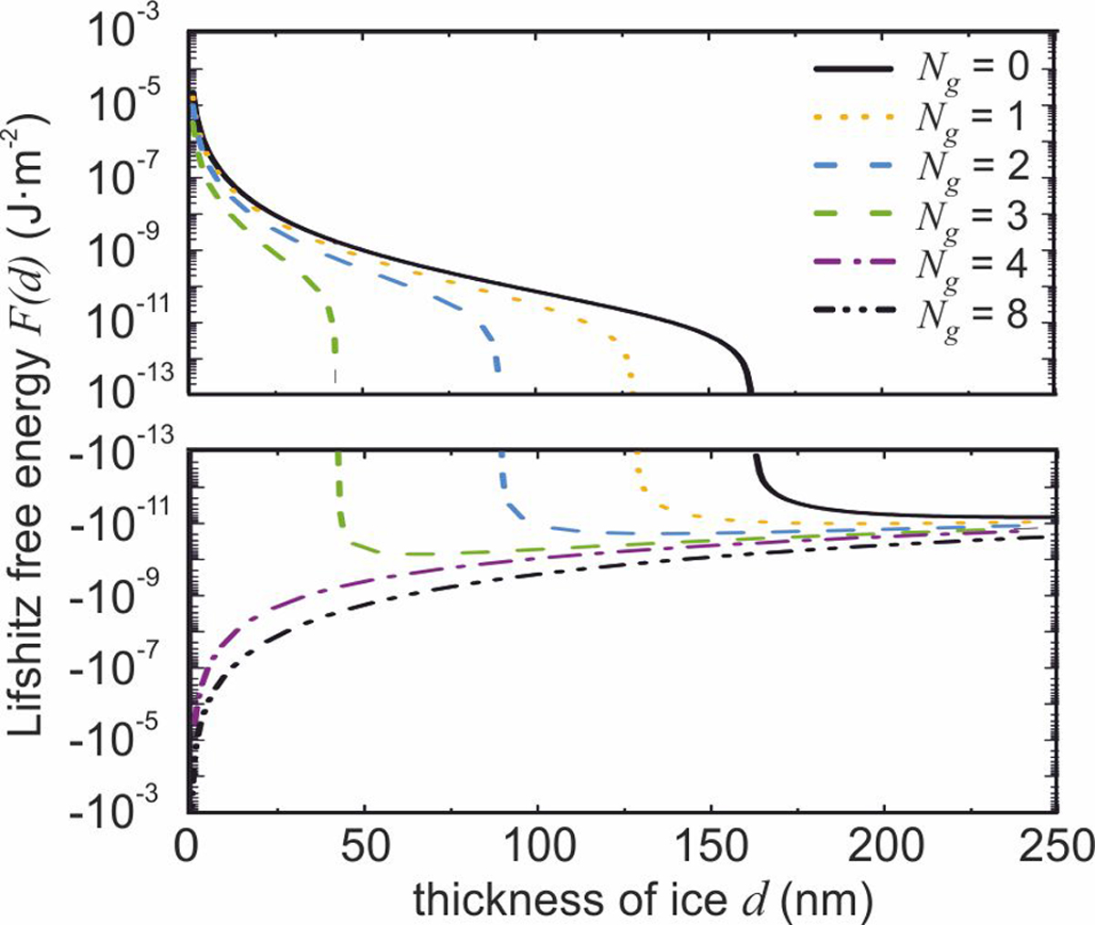
Fig. 4

image

Lifshitz free energy for CO2 gas hydrates-ice-water as a function of ice layer thickness using the dielectric function for water from Fiedler et al. (2020) and the dielectric function for ice from Elbaum & Schick (1991).

Current usage metrics show cumulative count of Article Views (full-text article views including HTML views, PDF and ePub downloads, according to the available data) and Abstracts Views on Vision4Press platform.

Data correspond to usage on the plateform after 2015. The current usage metrics is available 48-96 hours after online publication and is updated daily on week days.

Initial download of the metrics may take a while.