Free Access

Fig. 6

image

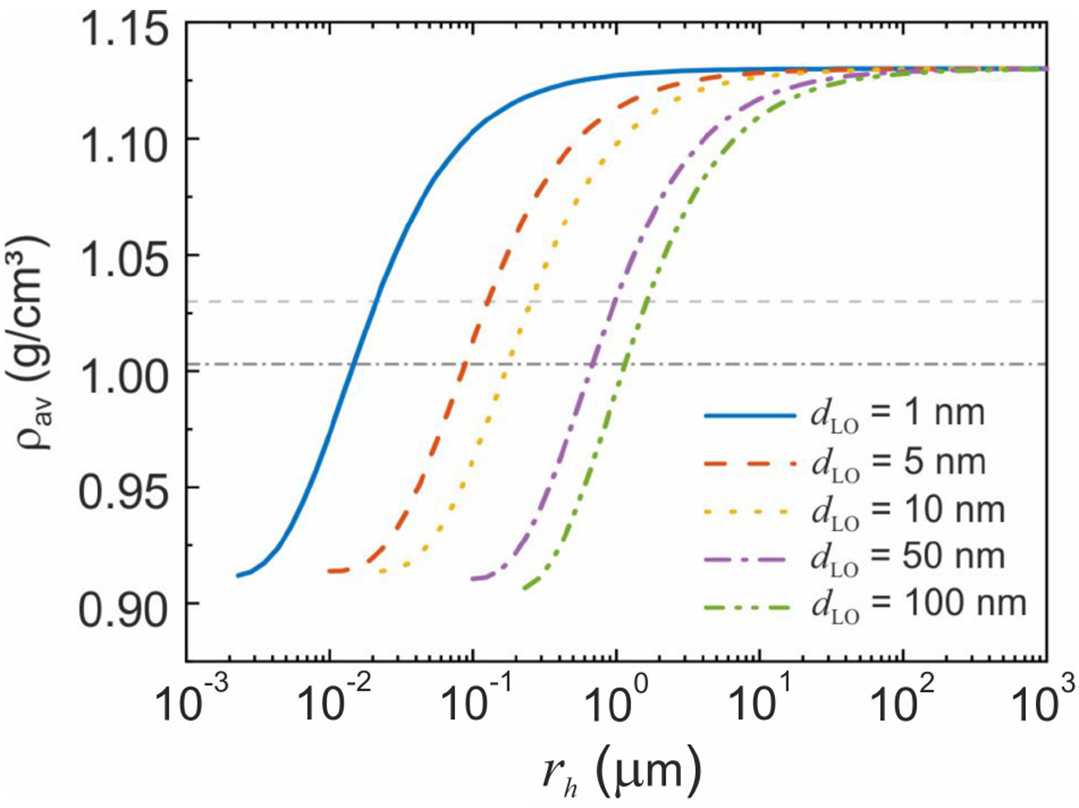
Effective density of CO2 hydrate particles as a function of radius rh for different thicknesses dLO of the outer low-occupancy layer. The corresponding ice thickness for each case is reported in Table 2. For comparison, we also include as dashed and dash-dotted lines, assumed densities for the ocean water on Enceladus: Safi et al. (2017) estimated it around 1.003 g cm−3, while Bouquet et al. (2015) estimated it around 1.03 g cm−3. The crossings between the two water density lines and the curves with particle effective densities are our order of magnitude conclusions for buoyancy-driven, particle-sized, float-to-sink transitions.

Current usage metrics show cumulative count of Article Views (full-text article views including HTML views, PDF and ePub downloads, according to the available data) and Abstracts Views on Vision4Press platform.

Data correspond to usage on the plateform after 2015. The current usage metrics is available 48-96 hours after online publication and is updated daily on week days.

Initial download of the metrics may take a while.