Open Access

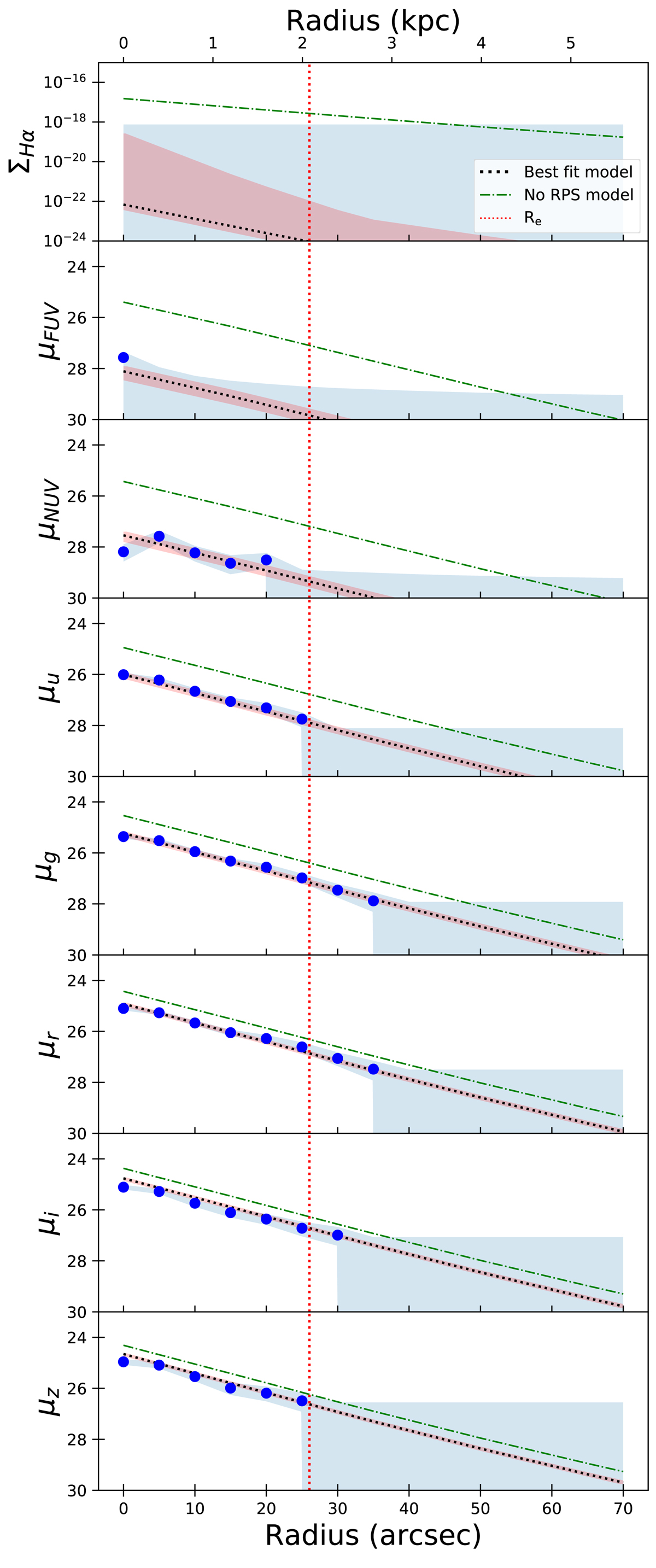
Fig. 2.

image

Radial surface-brightness profiles of NGVS 3543 measured in eight bands, shown as blue filled dots. The surface brightness units are in mag arcsec−2 for all the bands except for Hα which is in erg s−1 cm−2 arcsec−2. The blue shaded area marks the 1σ error (for data points) and upper-limits (3σ). The black dotted line indicates the best-fit model described in Sect. 3.1 for a ram-pressure stripped galaxy ( km s−1, and trps = 13.4 ± 0.1 Gyr). The green dot-dashed line shows the same model for an unperturbed system. The red shaded area shows the range of models allowed for the same spin and velocity, but allowing variation in the RPS efficiency and FWHM parameters as discussed in Sect. 3.1. The vertical red dotted line gives our measured g-band effective radius of the galaxy.

Current usage metrics show cumulative count of Article Views (full-text article views including HTML views, PDF and ePub downloads, according to the available data) and Abstracts Views on Vision4Press platform.

Data correspond to usage on the plateform after 2015. The current usage metrics is available 48-96 hours after online publication and is updated daily on week days.

Initial download of the metrics may take a while.