Free Access

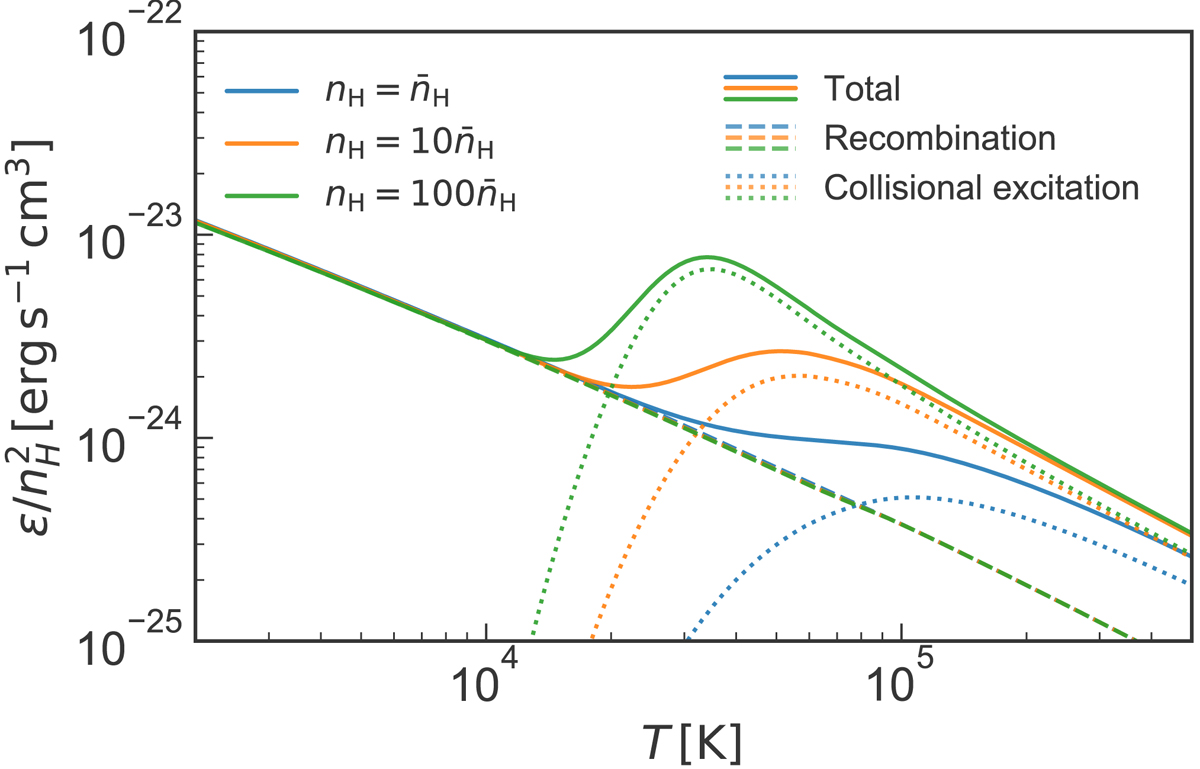
Fig. 2.

image

Normalised emissivity (units are erg s−1 cm3) of the Lyα line in a cloud of primordial gas at z = 4.8 as a result of recombination and collisional excitation processes as a function of temperature. There are three values of density, corresponding to overdensities of 1, 10, and 100, respectively; the mean cosmological hydrogen density corresponds to at this redshift. The dashed and dotted lines show the contribution from just recombination and collisional excitation, respectively.

Current usage metrics show cumulative count of Article Views (full-text article views including HTML views, PDF and ePub downloads, according to the available data) and Abstracts Views on Vision4Press platform.

Data correspond to usage on the plateform after 2015. The current usage metrics is available 48-96 hours after online publication and is updated daily on week days.

Initial download of the metrics may take a while.