Open Access

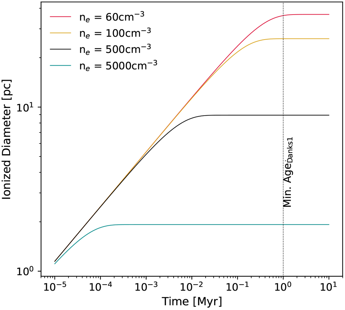
Fig. 8

image

Time evolution of the ionization diameter of a spherical cloud of density 104 cm −3 being illuminated by Danks 1 and Danks 2 star clusters at its center for different electron density values. The vertical dotted line is the minimum age of the Danks 1 cluster take from Davies et al. (2012).

Current usage metrics show cumulative count of Article Views (full-text article views including HTML views, PDF and ePub downloads, according to the available data) and Abstracts Views on Vision4Press platform.

Data correspond to usage on the plateform after 2015. The current usage metrics is available 48-96 hours after online publication and is updated daily on week days.

Initial download of the metrics may take a while.