Open Access

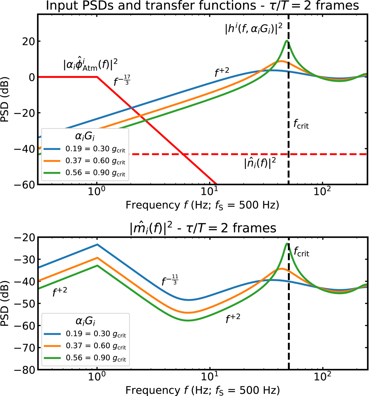
Fig. 3.

image

Typical spectral components for our AO semianalytical computations. Top: input spectra for turbulence and noise, and the measurement power transfer function |hi(f; αiGi)|2 for three αiGi values. Bottom: corresponding measurement power spectra . For this example, τ = 2T, and fS = 500 Hz, yielding gcrit ≈ 0.61 and fcrit = 50 Hz.

Current usage metrics show cumulative count of Article Views (full-text article views including HTML views, PDF and ePub downloads, according to the available data) and Abstracts Views on Vision4Press platform.

Data correspond to usage on the plateform after 2015. The current usage metrics is available 48-96 hours after online publication and is updated daily on week days.

Initial download of the metrics may take a while.