Open Access

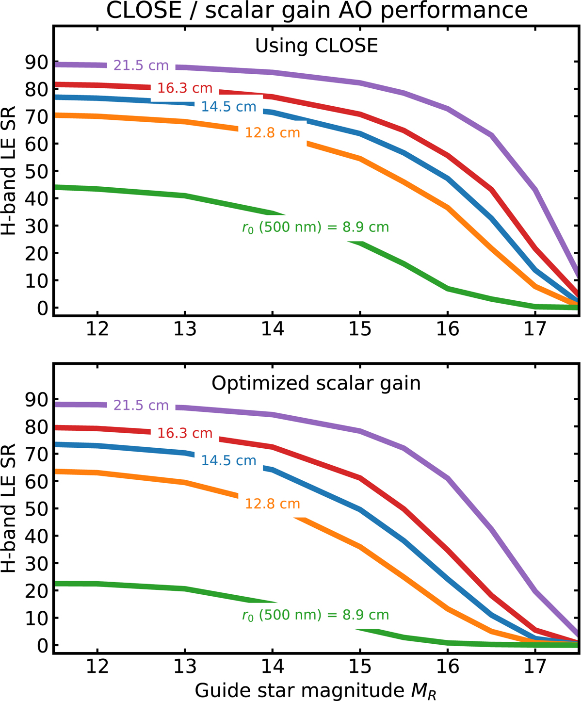
Fig. 9.

image

Long-exposure SR in H band obtained for end-to-end simulations of the MICADO SCAO setup with CLOSE (top), and with a manually optimized scalar integrator (bottom) for guide-star magnitudes MR = 11.5–17.5 and seeing conditions r0 = 8.9–21.5 cm.

Current usage metrics show cumulative count of Article Views (full-text article views including HTML views, PDF and ePub downloads, according to the available data) and Abstracts Views on Vision4Press platform.

Data correspond to usage on the plateform after 2015. The current usage metrics is available 48-96 hours after online publication and is updated daily on week days.

Initial download of the metrics may take a while.