Free Access

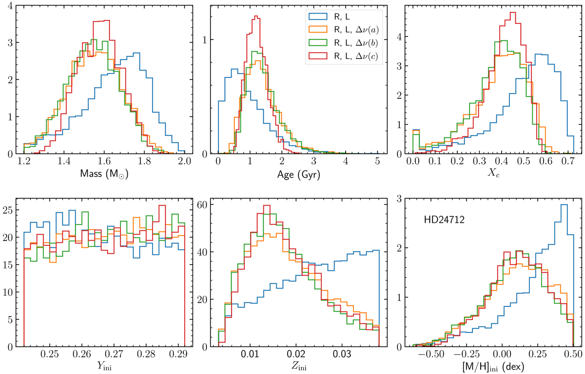
Fig. 3.

image

Probability density functions for the mass, age, Xc, Yini, Zini, and [M/H]ini of HR 1217 (HD 24712). The blue distributions take into account the classical constraints only, while the orange, green, and red ones include Δν as an additional constraint with different uncertainties (see Sect. 4.4).

Current usage metrics show cumulative count of Article Views (full-text article views including HTML views, PDF and ePub downloads, according to the available data) and Abstracts Views on Vision4Press platform.

Data correspond to usage on the plateform after 2015. The current usage metrics is available 48-96 hours after online publication and is updated daily on week days.

Initial download of the metrics may take a while.