Free Access
    
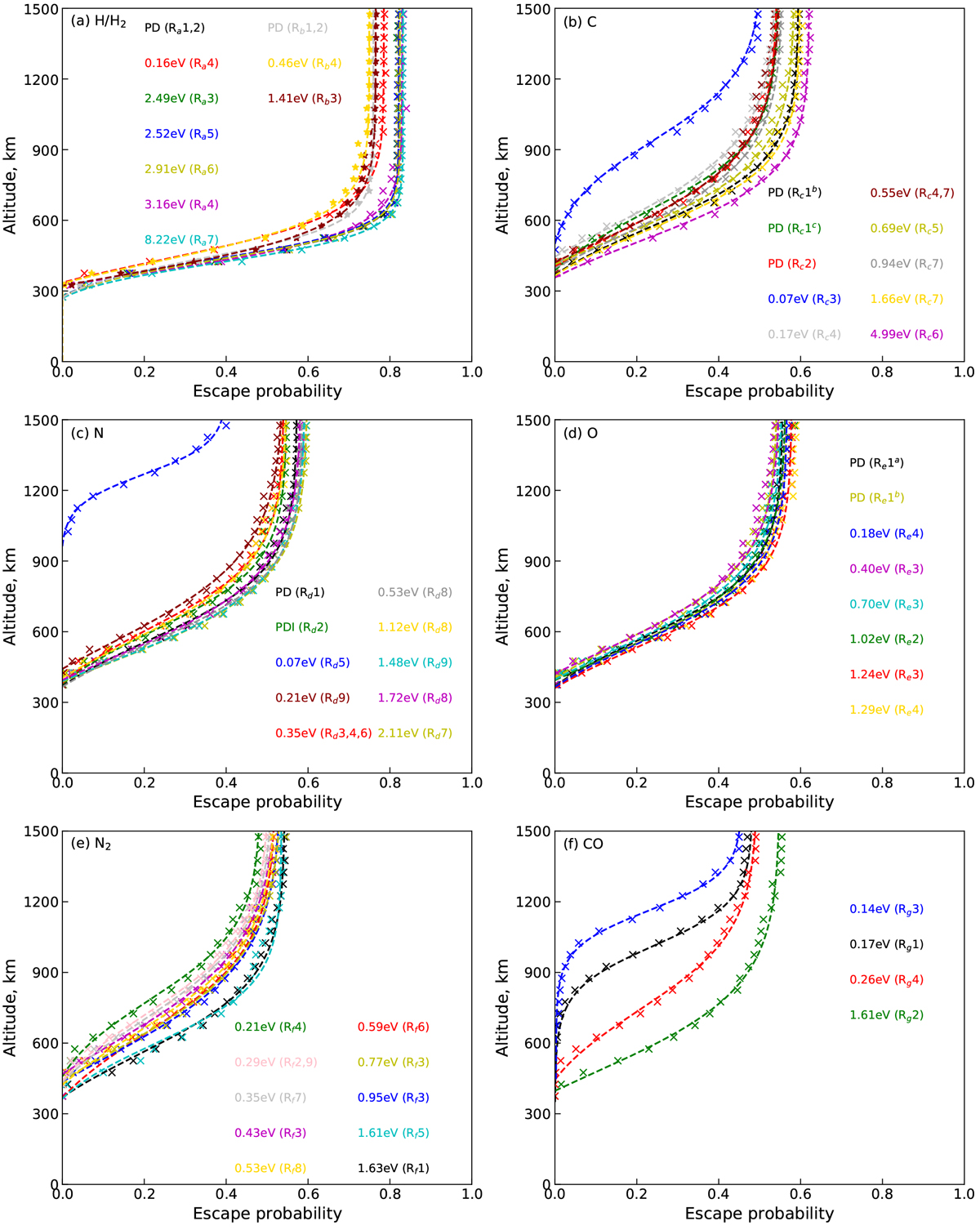
Fig. 5
 
      Escape probability profiles for various hot neutrals with different nascent kinetic energies included in this study. Crosses are from test particle Monte Carlo calculations and the dashed lines indicate the best empirical fits (see text for details).
Current usage metrics show cumulative count of Article Views (full-text article views including HTML views, PDF and ePub downloads, according to the available data) and Abstracts Views on Vision4Press platform.
Data correspond to usage on the plateform after 2015. The current usage metrics is available 48-96 hours after online publication and is updated daily on week days.
Initial download of the metrics may take a while.
