Free Access

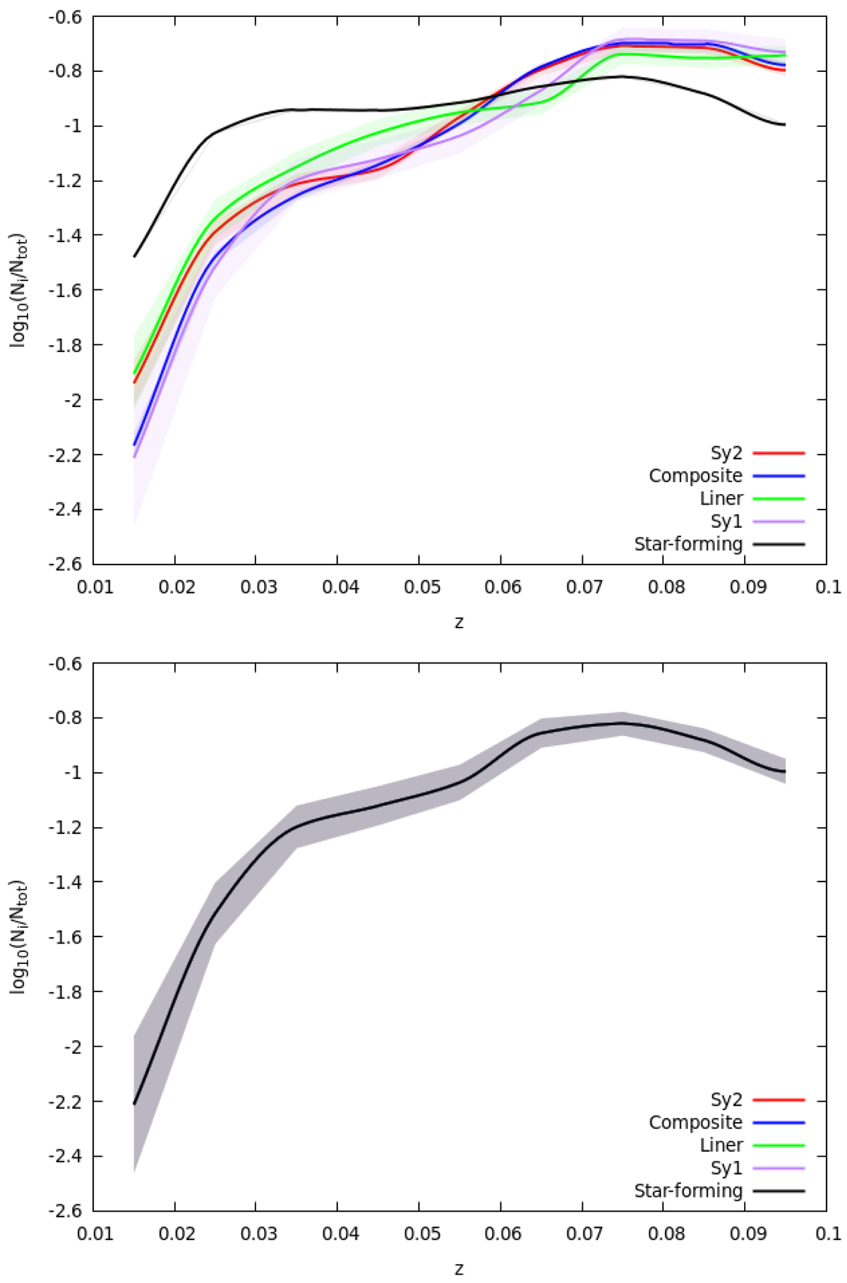
Fig. 1.

image

Upper panel: normalised redshift frequency distributions for the four sub-samples of AGN types and SF galaxies, limited to z < 0.1. The different sub-samples are colour-coded as denoted in the key. Lower panel: redshift-matched normalised distribution. The shaded area corresponds to the 1σ Poisson uncertainty.

Current usage metrics show cumulative count of Article Views (full-text article views including HTML views, PDF and ePub downloads, according to the available data) and Abstracts Views on Vision4Press platform.

Data correspond to usage on the plateform after 2015. The current usage metrics is available 48-96 hours after online publication and is updated daily on week days.

Initial download of the metrics may take a while.