Free Access

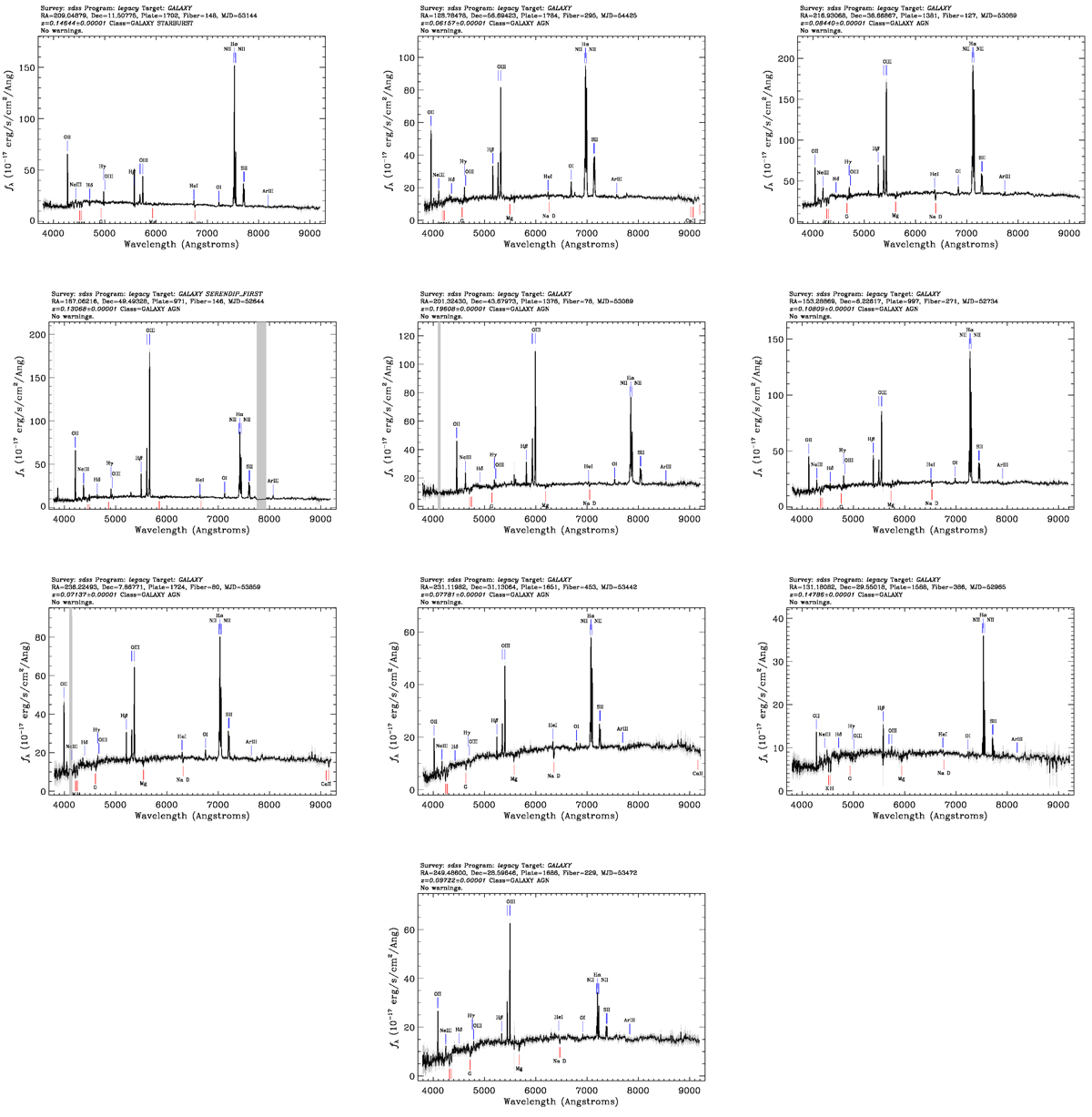
Fig. A.2.

image

Sample of ten random optical spectra of type 2 Seyfert AGNs. The identified emission lines are indicated. These spectra were randomly picked from different redshift ranges up to 0.2. credits to the SDSS.

Current usage metrics show cumulative count of Article Views (full-text article views including HTML views, PDF and ePub downloads, according to the available data) and Abstracts Views on Vision4Press platform.

Data correspond to usage on the plateform after 2015. The current usage metrics is available 48-96 hours after online publication and is updated daily on week days.

Initial download of the metrics may take a while.