Free Access

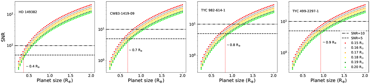
Fig. 6

image

Performances of CHEOPS on hot subdwarfs, assuming a single 20-min transit. From left to right: HD 149382 (G = 8.9), CW83-1419-09 (G = 12.0), TYC 982-614-1 (G = 12.2), and TYC 499-2297-1 (G = 12.6). The minimum planet size for an SN = 5 and a 0.18 R host is indicated next to the vertical red line.

Current usage metrics show cumulative count of Article Views (full-text article views including HTML views, PDF and ePub downloads, according to the available data) and Abstracts Views on Vision4Press platform.

Data correspond to usage on the plateform after 2015. The current usage metrics is available 48-96 hours after online publication and is updated daily on week days.

Initial download of the metrics may take a while.