Free Access

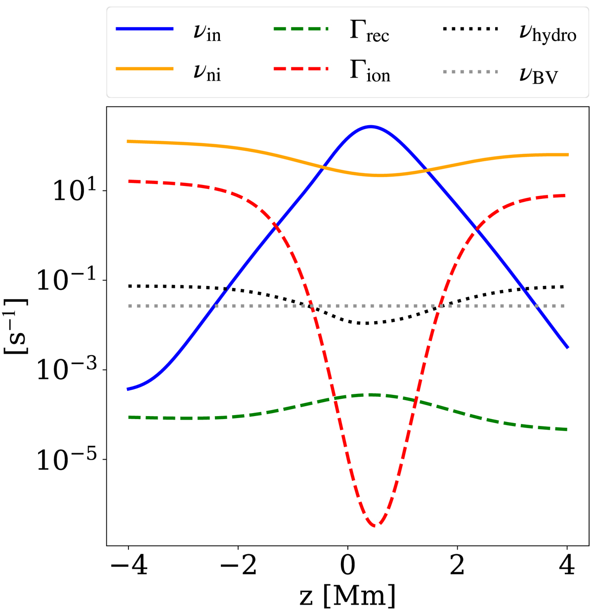
Fig. 1.

image

Collision frequencies between ions and neutrals (solid blue line), neutrals and ions (solid orange line), ionization rate (dashed red line) and recombination rate (dashed green line), and the hydrodynamic frequency (dotted black line) as a function of height, computed for the equilibrium model atmosphere. For reference, the Brunt-Väisälä frequency is calculated at height z = 0 and is shown as a gray dotted line.

Current usage metrics show cumulative count of Article Views (full-text article views including HTML views, PDF and ePub downloads, according to the available data) and Abstracts Views on Vision4Press platform.

Data correspond to usage on the plateform after 2015. The current usage metrics is available 48-96 hours after online publication and is updated daily on week days.

Initial download of the metrics may take a while.