Free Access

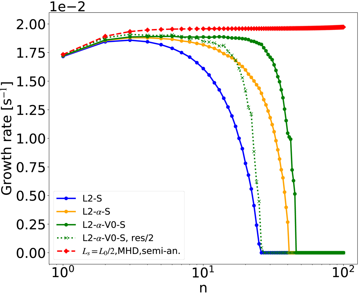
Fig. 9.

image

Growth rate for the simulations L2-S (blue line), L2-α-S (orange line), L2-α-V0-S (green solid line), and L2-α-V0-S,res/2 for half resolution in the vertical and the horizontal direction (green dotted line) as a function of the horizontal mode number n. The red line shows the semi-analytical solution in the ideal incompressible MHD approximation.

Current usage metrics show cumulative count of Article Views (full-text article views including HTML views, PDF and ePub downloads, according to the available data) and Abstracts Views on Vision4Press platform.

Data correspond to usage on the plateform after 2015. The current usage metrics is available 48-96 hours after online publication and is updated daily on week days.

Initial download of the metrics may take a while.