Fig. 10.
 
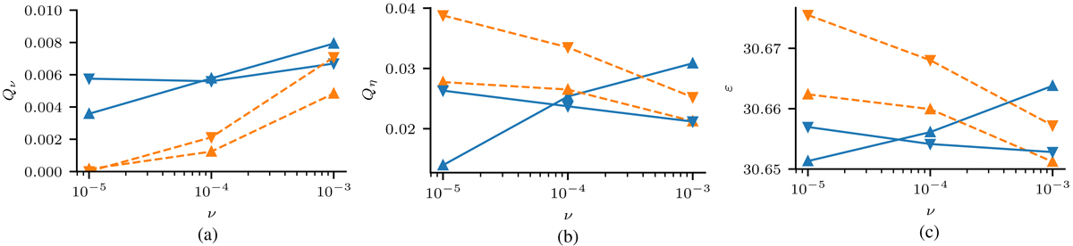
      Internal energy, total viscous, and total ohmic heating as functions of viscosity ν at t = 12.5, before the onset of any null collapse, for all parameter choices. Isotropic (blue, solid) and switching viscosity (orange, dashed) are both shown. An upwards-facing triangle denotes the higher value of η = 10−3 and a downwards-facing triangle, η = 10−4. The anisotropic viscous heating can become significant for larger values of ν yet, when ν is smaller, the lack of viscous heating is compensated by enhanced ohmic heating.
Current usage metrics show cumulative count of Article Views (full-text article views including HTML views, PDF and ePub downloads, according to the available data) and Abstracts Views on Vision4Press platform.
Data correspond to usage on the plateform after 2015. The current usage metrics is available 48-96 hours after online publication and is updated daily on week days.
Initial download of the metrics may take a while.
