Free Access

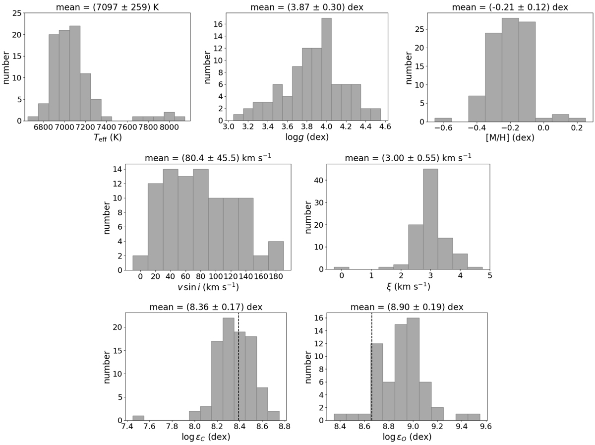
Fig. 5

image

Histograms of Teff, log g, [M/H], vsini, ξ, and the abundances of C and O in 12 scale for the sample of γ Dor stars. The [M/H] and vsini values are the results from the NN, while Teff, log g, ξ, and the C and O abundances are those obtained with GSSP. Solar values of the abundances are indicated with a black dashed line.

Current usage metrics show cumulative count of Article Views (full-text article views including HTML views, PDF and ePub downloads, according to the available data) and Abstracts Views on Vision4Press platform.

Data correspond to usage on the plateform after 2015. The current usage metrics is available 48-96 hours after online publication and is updated daily on week days.

Initial download of the metrics may take a while.