Free Access

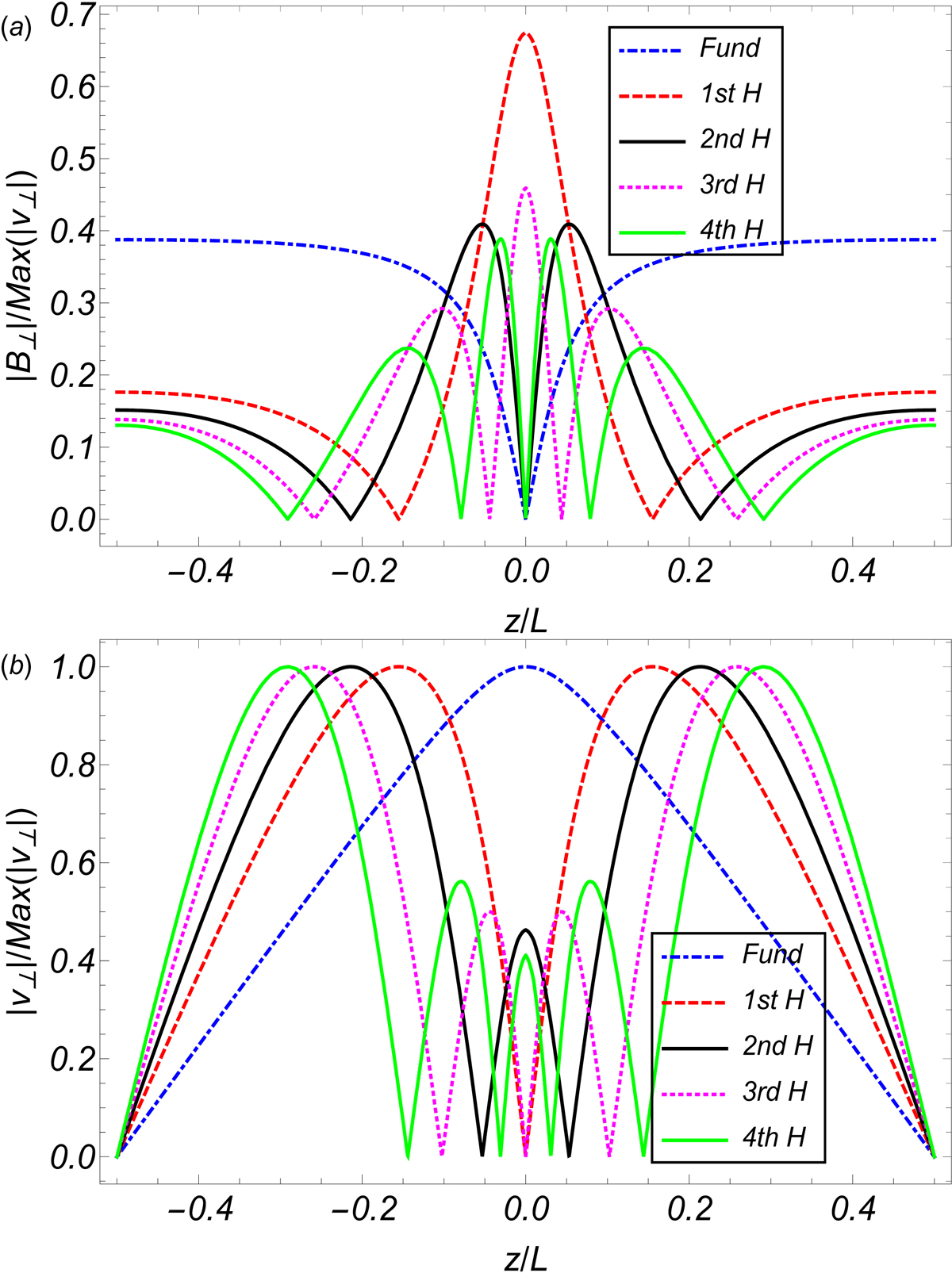
Fig. A.1.

image

Absolute value of the eigenfunctions of the fundamental mode and the first 4 harmonics of standing modes in the non-LTE case: (a) magnetic field perturbation and (b) velocity perturbation. The eigenfunctions are normalized to the maximum of the velocity perturbation in all cases. The eigenfunctions in the LTE case are indistinguishable from those displayed here.

Current usage metrics show cumulative count of Article Views (full-text article views including HTML views, PDF and ePub downloads, according to the available data) and Abstracts Views on Vision4Press platform.

Data correspond to usage on the plateform after 2015. The current usage metrics is available 48-96 hours after online publication and is updated daily on week days.

Initial download of the metrics may take a while.