Free Access

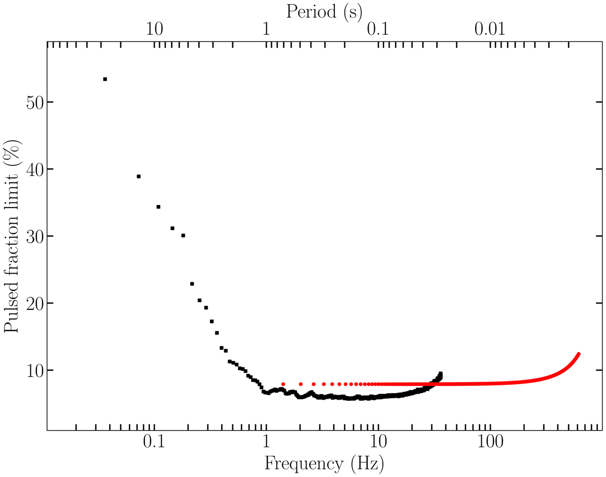
Fig. 3.

image

3σ upper limits on the pulsed fraction for any coherent signal within the frequency range 0.01−620 Hz, estimated by means of accelerated searches on the combined NICER datasets over the 0.5−5 keV energy range (see Sect. 3.2 for details).

Current usage metrics show cumulative count of Article Views (full-text article views including HTML views, PDF and ePub downloads, according to the available data) and Abstracts Views on Vision4Press platform.

Data correspond to usage on the plateform after 2015. The current usage metrics is available 48-96 hours after online publication and is updated daily on week days.

Initial download of the metrics may take a while.