Free Access

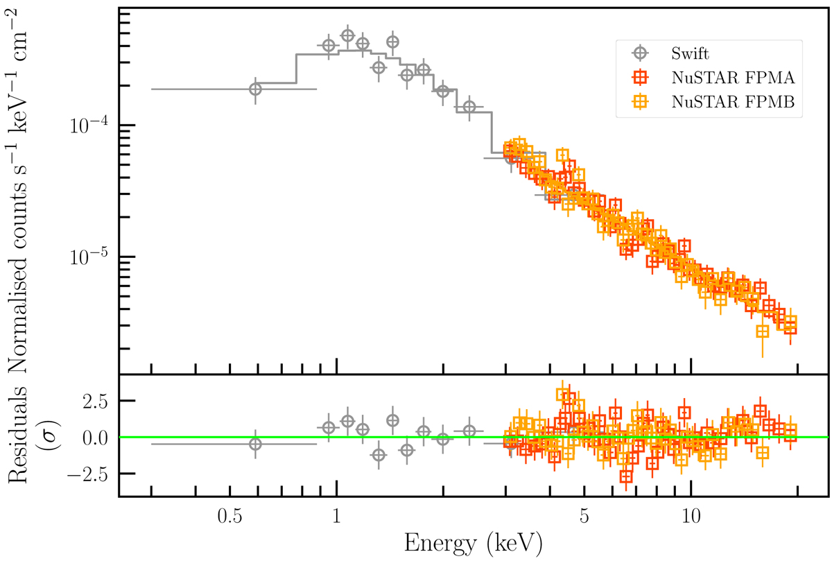
Fig. 4.

image

Broad-band X-ray spectrum of J0840 in outburst, extracted from quasi-simultaneous Swift/XRT and NuSTAR data. The best-fitting blackbody plus power-law model corrected for absorption is indicated using the solid line. Post-fit residuals are also shown in the bottom panel.

Current usage metrics show cumulative count of Article Views (full-text article views including HTML views, PDF and ePub downloads, according to the available data) and Abstracts Views on Vision4Press platform.

Data correspond to usage on the plateform after 2015. The current usage metrics is available 48-96 hours after online publication and is updated daily on week days.

Initial download of the metrics may take a while.