Open Access

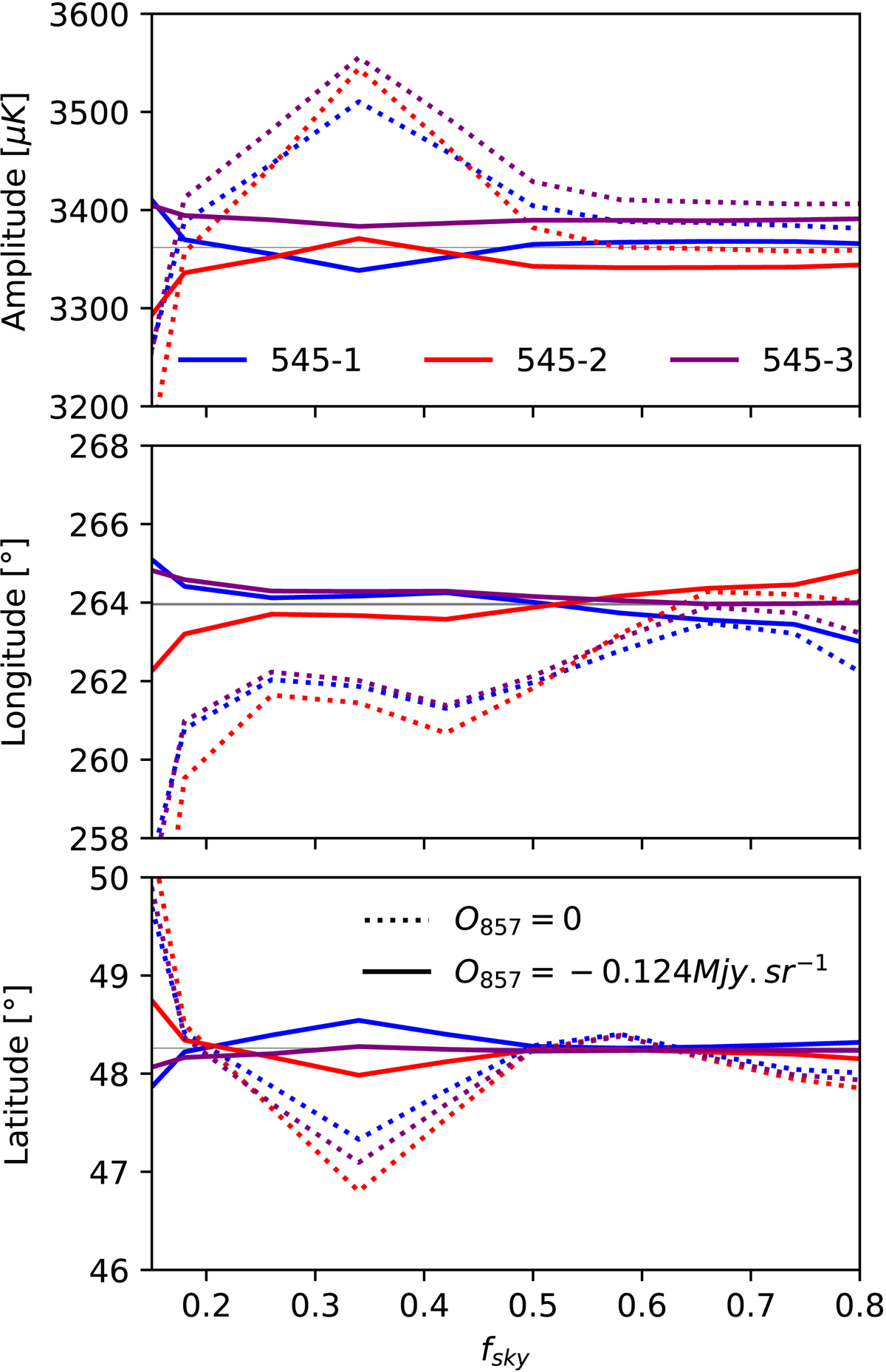
Fig. A.1.

image

Solar dipole parameters extracted from single detector maps at 545 GHz to which a dust map from 857 GHz has been removed. The parameters are shown for the three 545 GHz bolometers, and an offset correction null or optimized to minimize the difference with solar dipole direction.

Current usage metrics show cumulative count of Article Views (full-text article views including HTML views, PDF and ePub downloads, according to the available data) and Abstracts Views on Vision4Press platform.

Data correspond to usage on the plateform after 2015. The current usage metrics is available 48-96 hours after online publication and is updated daily on week days.

Initial download of the metrics may take a while.