Free Access

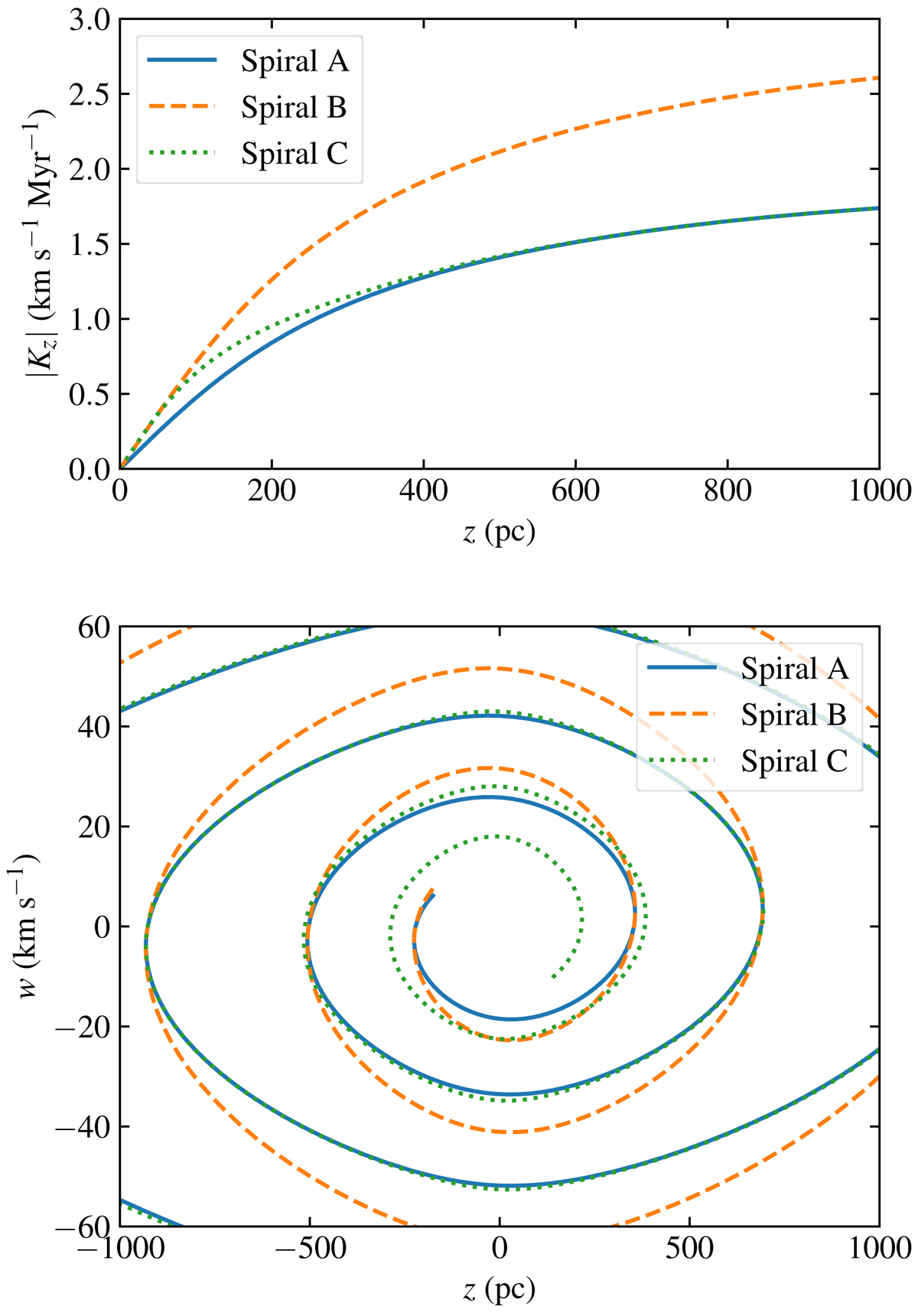
Fig. 2.

image

Three phase-space spirals (labelled A, B, and C) inhabiting three different gravitational potentials. Top panel: vertical force per mass (Kz = −∂Φ/∂z) as a function of height for the respective gravitational potentials. Bottom panel: three spirals in the (z, w)-plane, where their winding time (t) and initial angle () are chosen such that the spirals have the same phase () and phase derivative () when their vertical energy is equal to Ez = Φ(800 pc).

Current usage metrics show cumulative count of Article Views (full-text article views including HTML views, PDF and ePub downloads, according to the available data) and Abstracts Views on Vision4Press platform.

Data correspond to usage on the plateform after 2015. The current usage metrics is available 48-96 hours after online publication and is updated daily on week days.

Initial download of the metrics may take a while.