Free Access

Fig. 2

image

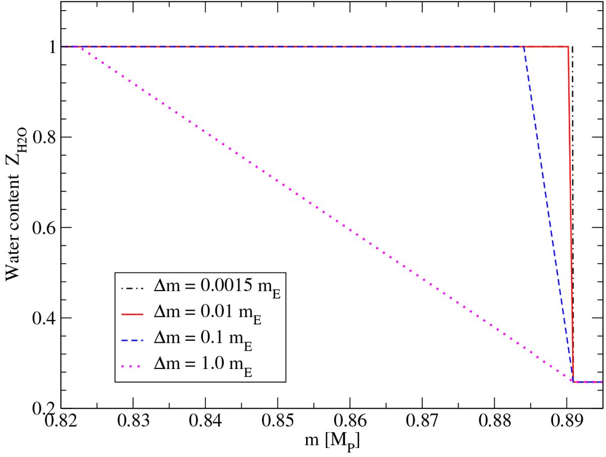
Water content values along Uranus profiles with a conducting TBL of varying thickness Δm. The model makes the Z-gradient for high Δm shallower than for low Δm. Z outside the TBL region is constant.

Current usage metrics show cumulative count of Article Views (full-text article views including HTML views, PDF and ePub downloads, according to the available data) and Abstracts Views on Vision4Press platform.

Data correspond to usage on the plateform after 2015. The current usage metrics is available 48-96 hours after online publication and is updated daily on week days.

Initial download of the metrics may take a while.