Free Access

Fig. H.2

image

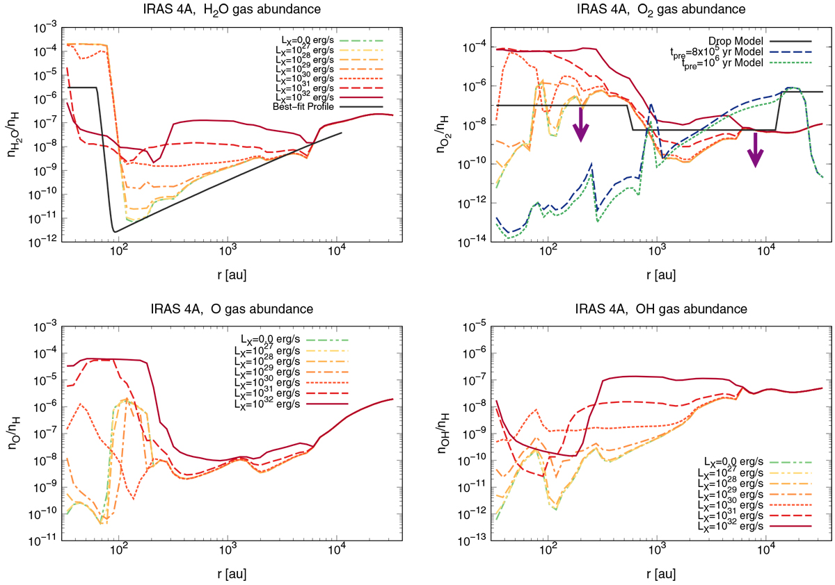
Radial profiles of gaseous fractional abundances of H2O, O2, O, and OH in NGC 1333-IRAS 4A envelope models. These profiles are obtained from our test calculations assuming the smaller Edes(j) for atomic oxygen (=800 K) rather than that in our fiducial model (= 1660 K). In the top left panel the observational best-fit H2O gas abundance profile obtained in van Dishoeck et al. (2021) is overplotted with the black solid line (see also Figs. 10 and H.1). In the top right panel the three model O2 gas abundance profiles obtained in Yıldız et al. (2013) are overplotted (see also Figs. 10 and H.1).

Current usage metrics show cumulative count of Article Views (full-text article views including HTML views, PDF and ePub downloads, according to the available data) and Abstracts Views on Vision4Press platform.

Data correspond to usage on the plateform after 2015. The current usage metrics is available 48-96 hours after online publication and is updated daily on week days.

Initial download of the metrics may take a while.