Free Access
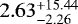
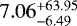
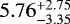
Table 5
Posterior distributions of the juliet joint fit for the instrumental parameters.
| Parameter(a) | TOI-1685 |
|---|---|
| Stellar parameters | |
| ρ⋆ (g cm −3) | |
| Photometry parameters | |
| MTESS,S19 (10−5) | |
| σTESS,S19 (ppm) | |
| q1,TESS | |
| q2,TESS | |
| MLCOGT (10−5) | |
| σLCOGT (ppm) | |
| q1,LCOGT | |
| MPESTO (10−5) | |
| σPESTO (ppm) | |
| q1,PESTO | |
| MMuSCAT2 i (10−5) | |
| σMuSCAT2 i (ppm) | |
| q1,MuSCAT2 i | |
| RV parameters | |
| γCARMENES (m s−1) | |
| σCARMENES (m s−1) | |
| GP hyperparameters | |
| σGP,RV (m s−1) | |
| αGP,RV (10−3 d−2) | |
| ΓGP,RV | |
| Prot;GP,RV (d) | |
Notes. (a) The priors and descriptions for each parameter are given in Table A.2. Error bars denote the 68% posterior credibility intervals.
Current usage metrics show cumulative count of Article Views (full-text article views including HTML views, PDF and ePub downloads, according to the available data) and Abstracts Views on Vision4Press platform.
Data correspond to usage on the plateform after 2015. The current usage metrics is available 48-96 hours after online publication and is updated daily on week days.
Initial download of the metrics may take a while.