Free Access

Fig. 16

image

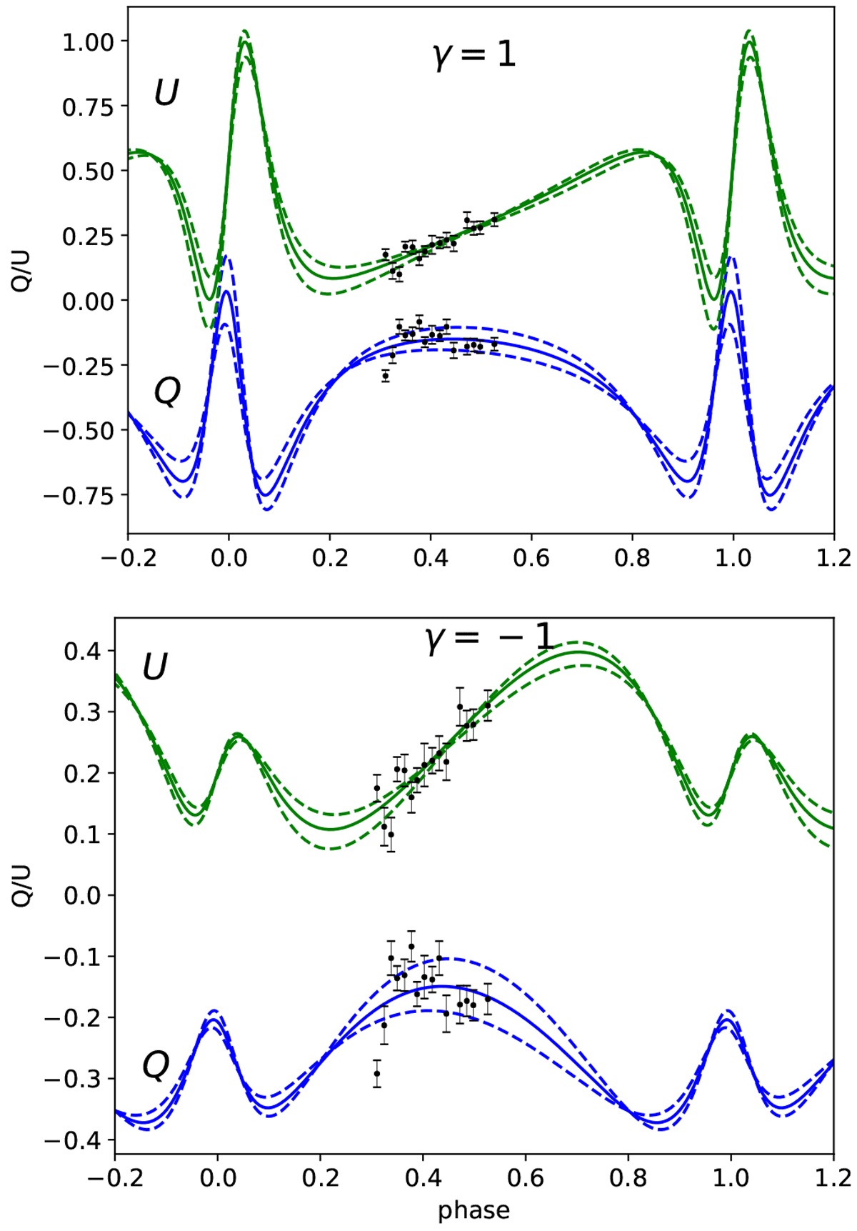
Comparison between the observed and modelled Stokes parameters Q (blue line) and U (green line) for two distinct exponents γ. For γ = 1 (upper panel), we obtain Ω = 120 ± 11°, τ* = 0.22, Q0 = − 0.24 ± 0.02, U0 = 0.16 ± 0.02. For γ = −1 (lower panel), we obtain Ω = 125 ± 11°, τ* = 0.10 ± 0.02, Q0 = − 0.23 ± 0.02, U0 = 0.15 ± 0.02. The dashed lines bounding the curves show the impact of changing the inclination by ± 10°. See text for details.

Current usage metrics show cumulative count of Article Views (full-text article views including HTML views, PDF and ePub downloads, according to the available data) and Abstracts Views on Vision4Press platform.

Data correspond to usage on the plateform after 2015. The current usage metrics is available 48-96 hours after online publication and is updated daily on week days.

Initial download of the metrics may take a while.