Free Access

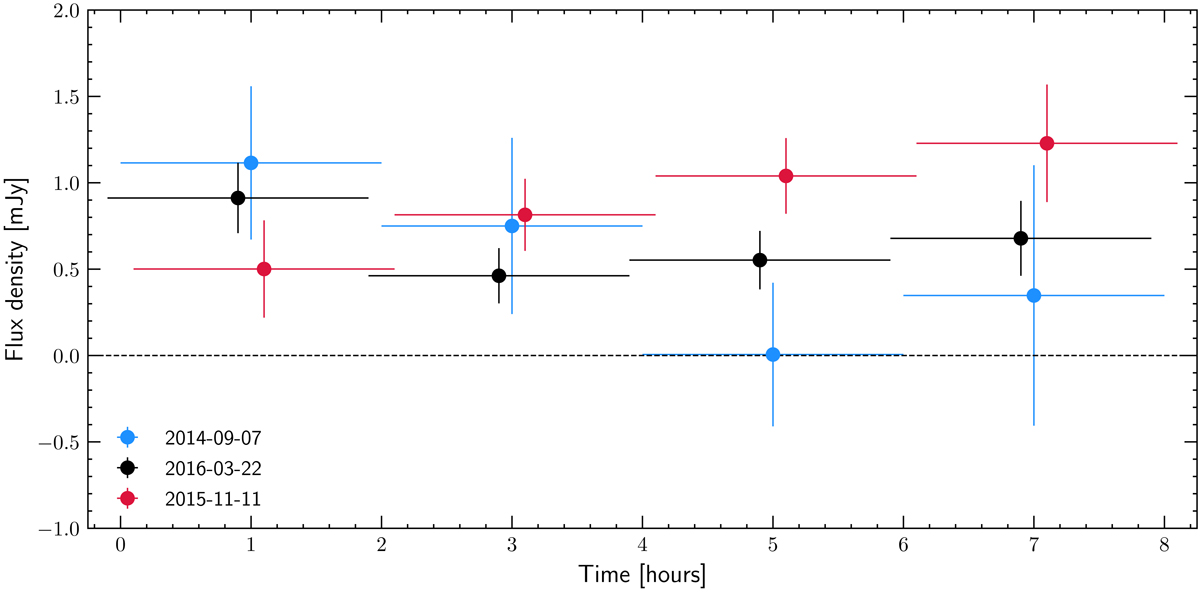
Fig. 2.

image

Time resolved Stokes-I flux density of WX UMa averaged over the full 120–167 MHz band on the three independent exposures (see Table 1). The emission persists for most of the 8 h survey pointing duration.

Current usage metrics show cumulative count of Article Views (full-text article views including HTML views, PDF and ePub downloads, according to the available data) and Abstracts Views on Vision4Press platform.

Data correspond to usage on the plateform after 2015. The current usage metrics is available 48-96 hours after online publication and is updated daily on week days.

Initial download of the metrics may take a while.